Математика профиль ЕГЭ - банк заданий - страница 212
Профильная математика
Вопросы
КИМ №7
1 часть
Раздел: 7. Вычисления и преобразования
Тема: 7. Числовые и буквенные логарифмические выражения
Источник: Иван Валериевич Ященко
Найдите 
КИМ №7
1 часть
Раздел: 7. Вычисления и преобразования
Тема: 7. Числовые и буквенные рациональные выражения
Источник: Иван Валериевич Ященко
Найдите 61а - 11b+50, если 
КИМ №7
1 часть
Раздел: 7. Вычисления и преобразования
Тема: 7. Числовые и буквенные рациональные выражения
Источник: Иван Валериевич Ященко
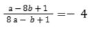
Найдите 33а - 12b+3, если 
КИМ №7
1 часть
Раздел: 7. Вычисления и преобразования
Тема: 7. Числовые и буквенные рациональные выражения
Источник: Иван Валериевич Ященко
Найдите 45а - 18b-34, если 
КИМ №7
1 часть
Раздел: 7. Вычисления и преобразования
Тема: 7. Числовые и буквенные рациональные выражения
Источник: Иван Валериевич Ященко
Найдите 93а - 39b-51, если 
КИМ №7
1 часть
Раздел: 7. Вычисления и преобразования
Тема: 7. Числовые и буквенные рациональные выражения
Источник: Иван Валериевич Ященко
Найдите значение выражения 
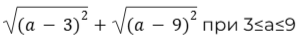
КИМ №7
1 часть
Раздел: 7. Вычисления и преобразования
Тема: 7. Числовые и буквенные иррациональные выражения
Источник: Иван Валериевич Ященко
Найдите значение выражения 
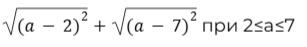
КИМ №7
1 часть
Раздел: 7. Вычисления и преобразования
Тема: 7. Числовые и буквенные иррациональные выражения
Источник: Иван Валериевич Ященко
Найдите значение выражения 
КИМ №7
1 часть
Раздел: 7. Вычисления и преобразования
Тема: 7. Числовые и буквенные иррациональные выражения
Источник: Иван Валериевич Ященко
Найдите значение выражения 
КИМ №7
1 часть
Раздел: 7. Вычисления и преобразования
Тема: 7. Числовые и буквенные иррациональные выражения
Источник: Иван Валериевич Ященко
Найдите значение выражения 
