Математика профиль ЕГЭ - банк заданий - страница 211
Профильная математика
Вопросы
КИМ №6
1 часть
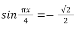
Раздел: 6. Уравнения
Тема: 6. Тригонометрические уравнения
Источник: Иван Валериевич Ященко
Найдите наименьший положительный корень уравнения 
КИМ №7
1 часть
Раздел: 7. Вычисления и преобразования
Тема: 7. Числовые и буквенные тригонометрические выражения
Источник: Иван Валериевич Ященко
Найдите значение выражения 10sin30°*cos120°
КИМ №7
1 часть
Раздел: 7. Вычисления и преобразования
Тема: 7. Числовые и буквенные тригонометрические выражения
Источник: Иван Валериевич Ященко
Найдите значение выражения 12sin150°*cos120
КИМ №7
1 часть
Раздел: 7. Вычисления и преобразования
Тема: 7. Числовые и буквенные тригонометрические выражения
Источник: Иван Валериевич Ященко
Найдите значение выражения 16sin60°*cos150°
КИМ №7
1 часть
Раздел: 7. Вычисления и преобразования
Тема: 7. Числовые и буквенные тригонометрические выражения
Источник: Иван Валериевич Ященко
Найдите значение выражения 20sin135°*cos45°
КИМ №7
1 часть
Раздел: 7. Вычисления и преобразования
Тема: 7. Числовые и буквенные тригонометрические выражения
Источник: Иван Валериевич Ященко
Найдите значение выражения 2sin150°*cos120°
КИМ №7
1 часть
Раздел: 7. Вычисления и преобразования
Тема: 7. Числовые и буквенные логарифмические выражения
Источник: Иван Валериевич Ященко
Найдите 
КИМ №7
1 часть
Раздел: 7. Вычисления и преобразования
Тема: 7. Числовые и буквенные логарифмические выражения
Источник: Иван Валериевич Ященко
Найдите 
КИМ №7
1 часть
Раздел: 7. Вычисления и преобразования
Тема: 7. Числовые и буквенные логарифмические выражения
Источник: Иван Валериевич Ященко
Найдите 
КИМ №7
1 часть
Раздел: 7. Вычисления и преобразования
Тема: 7. Числовые и буквенные логарифмические выражения
Источник: Иван Валериевич Ященко
Найдите 
