Математика профиль ЕГЭ - банк заданий - страница 210
Профильная математика
Вопросы
КИМ №6
1 часть
Раздел: 6. Уравнения
Тема: 6. Рациональные уравнения
Источник: Иван Валериевич Ященко
Решите уравнение
. Если уравнение имеет более одного корня, в ответ запишите больший из корней.
КИМ №6
1 часть
Раздел: 6. Уравнения
Тема: 6. Логарифмические уравнения
Источник: Иван Валериевич Ященко
Найдите корень уравнения 
КИМ №6
1 часть
Раздел: 6. Уравнения
Тема: 6. Логарифмические уравнения
Источник: Иван Валериевич Ященко
Найдите корень уравнения 
КИМ №6
1 часть
Раздел: 6. Уравнения
Тема: 6. Логарифмические уравнения
Источник: Иван Валериевич Ященко
Найдите корень уравнения 
КИМ №6
1 часть
Раздел: 6. Уравнения
Тема: 6. Логарифмические уравнения
Источник: Иван Валериевич Ященко
Найдите корень уравнения 
КИМ №6
1 часть
Раздел: 6. Уравнения
Тема: 6. Логарифмические уравнения
Источник: Иван Валериевич Ященко
Найдите корень уравнения 
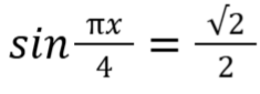
КИМ №6
1 часть
Раздел: 6. Уравнения
Тема: 6. Тригонометрические уравнения
Источник: Иван Валериевич Ященко
Найдите наибольший отрицательный корень уравнения 
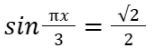
КИМ №6
1 часть
Раздел: 6. Уравнения
Тема: 6. Тригонометрические уравнения
Источник: Иван Валериевич Ященко
Найдите наибольший отрицательный корень уравнения 
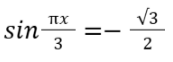
КИМ №6
1 часть
Раздел: 6. Уравнения
Тема: 6. Тригонометрические уравнения
Источник: Иван Валериевич Ященко
Найдите наименьший положительный корень уравнения 
КИМ №6
1 часть
Раздел: 6. Уравнения
Тема: 6. Тригонометрические уравнения
Источник: Иван Валериевич Ященко
Найдите наименьший положительный корень уравнения 
