Банк заданий ЕГЭ по профильной математике - страница 277
Вопросы
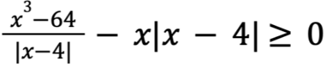
Решите неравенство
.
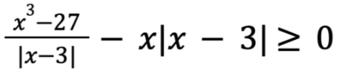
Решите неравенство 
Решите неравенство 
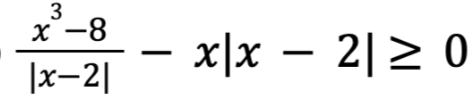
Решите неравенство 
В правильной треугольной пирамиде SABC сторона основания AB равна 8, а боковое ребро SA равно 6. На рёбрах AB и SC отмечены точки L и N соответственно, причём AL:LB=SN:NC=1:2. Плоскость α содержит прямую LN и параллельна прямой BC.
а) Докажите, что плоскость α параллельна прямой SA.
б) Найдите угол между плоскостями α и SBC.
В правильной треугольной пирамиде SABC сторона основания AB равна 8, а боковое ребро SA равно 5. На рёбрах AB и SC отмечены точки L и N соответственно, причём AL:LB=SN:NC=1:3. Плоскость α содержит прямую LN и параллельна прямой BC.
а) Докажите, что плоскость α параллельна прямой SA.
б) Найдите угол между плоскостями α и SBC .
В правильной треугольной пирамиде SABC сторона основания AB равна 10, а боковое ребро SA равно 6. На рёбрах AB и SC отмечены точки L и N соответственно, причём AL:LB=SN:NC=2:5. Плоскость α содержит прямую LN и параллельна прямой BC.
а) Докажите, что плоскость α параллельна прямой SA.
б) Найдите угол между плоскостями α и SBC.
В правильной треугольной пирамиде SABC сторона основания AB равна 10, а боковое ребро SA равно 7. На рёбрах AB и SC отмечены точки L и N соответственно, причём AL:LB=SN:NC=1:4. Плоскость α содержит прямую LN и параллельна прямой BC .
а) Докажите, что плоскость α параллельна прямой SA.
б) Найдите угол между плоскостями α и SBC.
а) Решите уравнение 5sin2x+5sinx+14cosx+7=0.
б) Найдите все корни этого уравнения, принадлежащие отрезку [3π; 9π/2].
а) Решите уравнение 5sin2x-5√2sinx+16cosx-8√2=0.
б) Найдите все корни этого уравнения, принадлежащие отрезку [-7π/2; -2π].
