Задание 11326 ЕГЭ по профильной математике
КИМ №13
2 часть
Раздел: 13. Уравнения второй части
Тема: 13. Показательные уравнения
Источник: Иван Валериевич Ященко
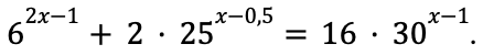
а) Решите уравнение 
б) Найдите все корни этого уравнения, принадлежащие отрезку [0,5;4].