Магазин курсов
Банк заданий
Обучение
Домашняя работа
Уроки
Календарь
База знаний
Техподдержка
Мои достижения
Регистрация
Вход
Банк заданий
ЕГЭ по профильной математике
Задание 11329
Задание 11329 ЕГЭ по профильной математике
1 вопрос
КИМ №15
2 часть
№11329
КИМ №15
2 часть
Раздел: 15. Неравенства
Тема: 15. Логарифмические неравенства
Источник: Иван Валериевич Ященко
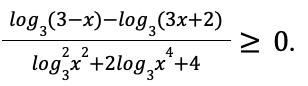
Решите неравенство