Банк заданий ЕГЭ по профильной математике - страница 261
Вопросы
а) Решите уравнение
2*sin(x - п/6) - 2√3cos2x = 2√3 - cosx
б) Укажите все корни этого уравнения, принадлежащие отрезку [-7п/2; -2п].
В правильной треугольной пирамиде SABC сторона основания AB равна 6, высота SH равна 18. Точка K — середина бокового ребра SA, а точка N — середина ребра BC. Плоскость, параллельная плоскости ABC, проходит через точку K и пересекает рёбра SB и SC в точках Q и P соответственно.
а) Докажите, что прямая QP пересекает отрезок SN в его середине.
б) Найдите угол между плоскостями ABC и AQP.
В правильной треугольной пирамиде SABC сторона основания AB равна 3, высота SH равна 12. Точка K — середина бокового ребра SA, а точка N — середина ребра BC. Плоскость, параллельная плоскости ABC, проходит через точку K и пересекает рёбра SB и SC в точках Q и P соответственно.
а) Докажите, что прямая QP пересекает отрезок SN в его середине.
б) Найдите угол между плоскостями ABC и AQP.
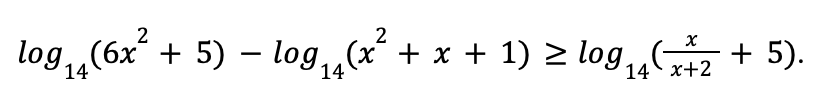
Решите неравенство 
Решите неравенство 
В июле 2025 года планируется взять кредит в банке на 8 лет. Условия его возврата таковы:
— в январе 2026, 2027, 2028 и 2029 годов долг возрастает на 20 % по сравнению с концом предыдущего года;
— в январе 2030, 2031, 2032 и 2033 годов долг возрастает на 14 % по сравнению с концом предыдущего года;
— с февраля по июнь каждого года необходимо выплатить часть долга; — в июле каждого года долг должен быть на одну и ту же величину меньше долга на июль предыдущего года;
— к июлю 2033 года кредит должен быть полностью погашен. Какую сумму планируется взять в кредит, если общая сумма выплат после полного его погашения составит 1,022 млн рублей?
В июле 2025 года планируется взять кредит в банке на 8 лет. Условия его возврата таковы:
— в январе 2026, 2027, 2028 и 2029 годов долг возрастает на 22 % по сравнению с концом предыдущего года;
— в январе 2030, 2031, 2032 и 2033 годов долг возрастает на 20 % по сравнению с концом предыдущего года;
— с февраля по июнь каждого года необходимо выплатить часть долга; — в июле каждого года долг должен быть на одну и ту же величину меньше долга на июль предыдущего года;
— к июлю 2033 года кредит должен быть полностью погашен. Какую сумму планируется взять в кредит, если общая сумма выплат после полного его погашения составит 1,572 млн рублей?
Точка O — центр вписанной в треугольник ABC окружности. Прямая BO вторично пересекает описанную около этого треугольника окружность в точке P.
а) Докажите, что OP=CP.
б) Найдите радиус описанной около треугольника ABC окружности, если расстояние от точки P до прямой AC равно 36, ∠ABC =60° .
Точка O — центр вписанной в треугольник ABC окружности. Прямая BO вторично пересекает описанную около этого треугольника окружность в точке P.
а) Докажите, что OP=CP.
б) Найдите радиус описанной около треугольника ABC окружности, если расстояние от точки P до прямой AC равно 30, ∠ABC = 60°.
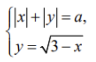
Найдите все положительные значения a, при каждом из которых система уравнений

имеет ровно два различных решения.
