Банк заданий ЕГЭ по профильной математике - страница 262
Вопросы
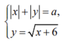
Найдите все положительные значения a , при каждом из которых система уравнений

имеет ровно три различных решения.
Из правильной несократимой дроби a/b где a и b— натуральные числа, за один ход получают дробь ![]()
а) Можно ли за несколько таких ходов из дроби 1/5 получить дробь 32/45 ?
б) Можно ли за два таких хода из некоторой дроби получить дробь 9/14 ?
в) Несократимая дробь c/d больше 0,68. Найдите наименьшую дробь c/d, которую нельзя получить ни из какой правильной несократимой дроби за два таких хода?
Из правильной несократимой дроби a/b где a и b— натуральные числа, за один ход получают дробь ![]()
а) Можно ли за несколько таких ходов из дроби 1/4 получить дробь 27/38 ?
б) Можно ли за два таких хода из некоторой дроби получить дробь 8/15 ?
в) Несократимая дробь c/d больше 0,69. Найдите наименьшую дробь c/d, которую нельзя получить ни из какой правильной несократимой дроби за два таких хода?
В правильной треугольной призме ABCA₁B₁C₁ известно, что AB=2. Плоскость α проходит через вершины A₁ и B и середину M ребра CC₁.
а) Докажите, что сечение призмы ABCA₁B₁C₁ плоскостью α является равнобедренным треугольником.
б) Найдите высоту призмы, если площадь сечения плоскостью α равна 6.
В правильной треугольной призме ABCA₁B₁C₁ отметили точки M и K на рёбрах AA₁ и A₁B₁ соответственно. Известно, что A₁M=2MA, A₁K=KB₁. Через точки M и K провели плоскость α перпендикулярно грани ABB₁A₁.
а) Докажите, что плоскость α проходит через вершину C₁.
б) Найдите площадь сечения призмы ABCA₁B₁C₁ плоскостью α, если все рёбра призмы равны 12.
Решите неравенство 
15 декабря 2026 года планируется взять кредит в банке на сумму 9 млн рублей на 36 месяцев. Условия его возврата таковы:
– 1-го числа каждого месяца долг возрастает на r процентов по сравнению с концом предыдущего месяца;
– со 2-го по 14-е число каждого месяца необходимо одним платежом оплатить часть долга;
– 15-го числа каждого месяца долг должен быть на одну и ту же величину меньше долга на 15-е число предыдущего месяца;
– к 15 декабря 2029 года кредит должен быть полностью погашен.
Чему равно r, если общая сумма платежей в 2027 году составит 4830 тыс. рублей?
Строительство нового завода стоит 78 млн рублей. Затраты на производство x тыс. единиц продукции на таком заводе равны (0,5x²+2x+6) млн рублей в год. Если продукцию завода продавать по цене p тыс. рублей за единицу, то прибыль фирмы (в млн рублей) за один год составит px−(0,5x²+2x+6). Когда завод будет построен, каждый год фирма будет выпускать продукцию в таком количестве, чтобы прибыль была наибольшей. При каком наименьшем значении p строительство завода окупится не больше чем за 3 года?
Сумма оснований трапеции равна 13, а её диагонали равны 5 и 12.
а) Докажите, что диагонали трапеции перпендикулярны.
б) Найдите высоту трапеции.
а) Решите уравнение 2sin²x+√2*sin(2π−x)+√3*sin2x=√6*cosx.
б) Найдите все корни этого уравнения, принадлежащие отрезку [−π; π/2].
