Банк заданий ЕГЭ по профильной математике - страница 176
Вопросы
На рисунке изображён график функции y=f'(x) — производной функции f(x), определённой на интервале (−11; 3). Найдите количество точек, в которых касательная к графику функции f(x) параллельна прямой y=-x−7 или совпадает с ней.

На рисунке изображён график функции y=f'(x) — производной функции f(x), определённой на интервале (−9; 4). Найдите количество точек, в которых касательная к графику функции f(x) параллельна прямой y=2x−9 или совпадает с ней.

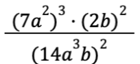
Найдите значение выражения
при а = log₃5 и b = log₃15.
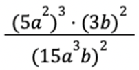
Найдите значение выражения
при а = log₂7 и b = log₂14.
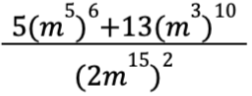
Найдите значение выражения
при 
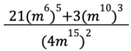
Найдите значение выражения
при 
Решите уравнение
Если уравнение имеет больше одного корня, в ответе запишите больший из корней.
Решите уравнение
Если уравнение имеет больше одного корня, в ответе запишите больший из корней.
Решите уравнение
. Если уравнение имеет больше одного корня, в ответе запишите меньший из корней.
Решите уравнение
Если уравнение имеет больше одного корня, в ответе запишите меньший из корней.
