Математика профиль ЕГЭ - банк заданий - страница 208
Профильная математика
Вопросы
КИМ №1
1 часть
Раздел: 1. Планиметрия
Тема: 1. Центральные и вписанные углы
Источник: Иван Валериевич Ященко
В треугольнике АВС сторона АВ равна 47, угол С равен 150°. Найдите радиус описанной около этого треугольника окружности.

КИМ №1
1 часть
Раздел: 1. Планиметрия
Тема: 1. Прямоугольный треугольник
Источник: Иван Валериевич Ященко
В треугольнике АВС угол С равен 90°, АВ=5, sinA=7/25. Найдите АС.

КИМ №1
1 часть
Раздел: 1. Планиметрия
Тема: 1. Прямоугольный треугольник
Источник: Статград
В треугольнике АВС угол С равен 90°, АВ=17, sinA=8/17. Найдите АС.

КИМ №1
1 часть
Раздел: 1. Планиметрия
Тема: 1. Прямоугольный треугольник
Источник: Статград
В треугольнике АВС угол С равен 90°, АВ=35, sinA=4/5. Найдите АС.

КИМ №1
1 часть
Раздел: 1. Планиметрия
Тема: 1. Прямоугольный треугольник
Источник: Иван Валериевич Ященко
В треугольнике АВС угол С равен 90°, АВ=12, sinA=√51/10. Найдите АС.

КИМ №1
1 часть
Раздел: 1. Планиметрия
Тема: 1. Прямоугольный треугольник
Источник: Иван Валериевич Ященко
В треугольнике АВС угол С равен 90°, АВ=25, sinA=√51/10. Найдите АС.

КИМ №6
1 часть
Раздел: 6. Уравнения
Тема: 6. Логарифмические уравнения
Источник: Иван Валериевич Ященко
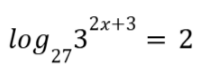
Найдите корень уравнения 
КИМ №6
1 часть
Раздел: 6. Уравнения
Тема: 6. Логарифмические уравнения
Источник: Иван Валериевич Ященко
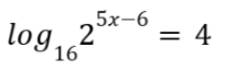
Найдите корень уравнения 
КИМ №6
1 часть
Раздел: 6. Уравнения
Тема: 6. Логарифмические уравнения
Источник: Иван Валериевич Ященко
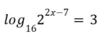
Найдите корень уравнения 
КИМ №6
1 часть
Раздел: 6. Уравнения
Тема: 6. Логарифмические уравнения
Источник: Иван Валериевич Ященко
Найдите корень уравнения 
