Банк заданий ЕГЭ по профильной математике - страница 142
Вопросы
В магазине три продавца. Каждый из них занят с клиентом с вероятностью 0,4 независимо от других продавцов. Найдите вероятность того, что в случайный момент времени все три продавца заняты одновременно.
В магазине три продавца. Каждый из них занят с клиентом с вероятностью 0,6 независимо от других продавцов. Найдите вероятность того, что в случайный момент времени все три продавца заняты одновременно.
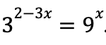
Найдите корень уравнения 
Найдите корень уравнения 
Основания прямоугольной трапеции равны 14 и 18, а площадь равна 64. Найдите острый угол этой трапеции. Ответ дайте в градусах.

На координатной плоскости изображены векторы a и b . Найдите скалярное произведение a * b.

Если длину каждого ребра куба увеличить на 1, то площадь его поверхности увеличится на 18. Найдите длину ребра этого куба.

В ящике лежали 22 одинаковые карточки, пронумерованные числами от 1 до 22. К ним добавили ещё три карточки с числами 40, 44 и 47. Из ящика выбирают одну случайную карточку. Какова вероятность того, что на ней окажется чётное число?
В многофункциональном центре установлены две одинаковые станции печати документов. В течение дня каждая из станций требует вмешательства оператора с вероятностью 0,25. Вероятность того, что обе станции потребуют вмешательства оператора, равна 0,13. Найдите вероятность того, что в течение дня ни одна из станций не потребует вмешательства оператора.
Найдите корень уравнения ![]()
