Банк заданий ЕГЭ по базовой математике - страница 519
Вопросы
Перевести температуру из шкалы Фаренгейта в шкалу Цельсия позволяет формула tC=5/9(tF−32), где tC — температура в градусах по шкале Цельсия, tF — температура в градусах по шкале Фаренгейта. Скольким градусам по шкале Цельсия соответствует 77 градусов по шкале Фаренгейта?
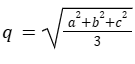
Среднее квадратичное трёх чисел a, b и c вычисляется по формуле
. Найдите среднее квадратичное чисел √11, 6 и 14.
Радиус окружности, описанной около треугольника, можно вычислить по формуле R= а/2sin α, где a — сторона, α — противолежащий ей угол треугольника. Пользуясь этой формулой, найдите радиус R, если a=8 и sin α=1/7
Зная длину своего шага, человек может приближённо подсчитать пройденное им расстояние s по формуле s=nl, где n — число шагов, l — длина шага. Какое расстояние прошёл человек, если l=70 см, n=1400? Ответ дайте в метрах.
Площадь четырёхугольника можно вычислить по формуле S=½*d₁*d₂*sinα, где d₁ и d₂ — длины диагоналей четырёхугольника, α — угол между диагоналями. Пользуясь этой формулой, найдите длину диагонали d₂, если d₁=4, sin α=5/7, a S=10.
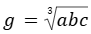
Среднее геометрическое трёх чисел a, b и c вычисляется по формуле
. Вычислите среднее геометрическое чисел 8, 16, 32.
Площадь треугольника можно вычислить по формуле S=abc/4R, где a, b и c — стороны треугольника, а R — радиус окружности, описанной около этого треугольника. Пользуясь этой формулой, найдите площадь S, если a=11, b=13, c=20 и R=65/6.
Скорость камня (в м/с), падающего с высоты h (в м), в момент удара о землю можно найти по формуле v=√2gh. Найдите скорость (в м/с), с которой ударится о землю камень, падающий с высоты 90 м. Считайте, что ускорение свободного падения g равно 9,8 м/с².
Площадь четырёхугольника можно вычислить по формуле S=½*d₁d₂sin α, где d₁ и d₂ — длины диагоналей четырёхугольника, α — угол между диагоналями. Пользуясь этой формулой, найдите длину диагонали d₁, если d₂=15, sinα=2/5, a S=36.
Длина биссектрисы lc, проведённой к стороне c треугольника со сторонами a, b и c, вычисляется по формуле
. Найдите биссектрису lc, если a=8, b=12 и c=5√10.
