Банк заданий ЕГЭ по базовой математике - страница 518
Вопросы
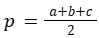
Площадь треугольника со сторонами a, b, c можно найти по формуле Герона
, где p=(a+b+c)/2. Найдите площадь треугольника, если длины его сторон равны 7, 15, 20.
Площадь треугольника можно вычислить по формуле S=abc/4R, где a, b и c — стороны треугольника, R — радиус окружности, описанной около этого треугольника. Пользуясь этой формулой, найдите площадь S, если a=10, b=9, c=17 и R=85/8.
Энергия W (в Дж) заряженного конденсатора вычисляется по формуле W=CU2/2, где C — ёмкость конденсатора (в Ф), а U — разность потенциалов на обкладках конденсатора (в В). Найдите W (в Дж), если C=2⋅10-4 Ф и U=17 В.
Мощность постоянного тока (в ваттах) вычисляется по формуле P=I2R,где I — сила тока (в амперах), R — сопротивление (в омах). Пользуясь этой формулой, найдите P (в ваттах), если R=14 Ом и I=4 А.
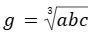
Среднее геометрическое трёх чисел a, b и c вычисляется по формуле
. Вычислите среднее геометрическое чисел 2, 5, 100.
Чтобы перевести температуру из шкалы Цельсия в шкалу Фаренгейта, пользуются формулой tF=1,8tC+32, где tC — температура в градусах по шкале Цельсия, tF — температура в градусах по шкале Фаренгейта. Скольким градусам по шкале Фаренгейта соответствует 100 градусов по шкале Цельсия?
Длина биссектрисы lc, проведённой к стороне c треугольника со сторонами a, b и c, вычисляется по формуле
. Найдите биссектрису lc, если a=3, b=6 и c=3√7.
Площадь прямоугольника можно вычислить по формуле S=(d2sina)/2,где d — длина диагонали, α — угол между диагоналями. Пользуясь этой формулой, найдите площадь S, если d=5 и sinα=2/5.
Если p1, p2 и p3— различные простые числа, то сумма всех делителей числа p1⋅p2⋅p3 равна (p1+1)(p2+1)(p3+1). Найдите сумму всех делителей числа 114=2⋅3⋅19.
Площадь треугольника со сторонами a, b, c можно найти по формуле Герона
, где
. Найдите площадь треугольника, если длины его сторон равны 5, 12, 13.
