Банк заданий ЕГЭ по базовой математике - страница 517
Вопросы
Площадь прямоугольника можно вычислить по формуле S=(d2sina)/2,где d — длина диагонали, α — угол между диагоналями. Пользуясь этой формулой, найдите площадь S, если d=3 и sinα=2/3.
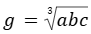
Среднее геометрическое трёх чисел a, b и c вычисляется по формуле
. Вычислите среднее геометрическое чисел 8, 9, 81.
Площадь треугольника со сторонами a, b, c можно найти по формуле Герона
, где
. Найдите площадь треугольника, если длины его сторон равны 12, 17, 25.
Площадь треугольника можно вычислить по формуле S=(a+b+c)r/2, где a, b и c — стороны треугольника, а r — радиус окружности, вписанной в этот треугольник. Пользуясь этой формулой, найдите b, если a=11, c=14, S=44√3 и r=2√3.
Если p1, p2 и p3 — различные простые числа, то сумма всех делителей числа p1⋅p2⋅p3 равна (p1+1)(p2+1)(p3+1). Найдите сумму всех делителей числа 165=3⋅5⋅11.
Ускорение тела (в м / c2) при равномерном движении по окружности можно вычислить по формуле a=ω2R, где ω — угловая скорость вращения (в c-1 ), а R — радиус окружности (в метрах). Пользуясь этой формулой, найдите a (в м / c2), если R=2,5 м и ω=20 c-1
Мощность постоянного тока (в ваттах) вычисляется по формуле P=I2R, где I — сила тока (в амперах), R — сопротивление (в омах). Пользуясь этой формулой, найдите R (в омах), если P=144 Вт и I=4 А.
Мощность постоянного тока (в ваттах) вычисляется по формуле P=I2R, где I — сила тока (в амперах), R — сопротивление (в омах). Пользуясь этой формулой, найдите P (в ваттах), если R=5 Ом и I=7 А.
Мощность постоянного тока (в ваттах) вычисляется по формуле P=I2R, где I — сила тока (в амперах), R — сопротивление (в омах). Пользуясь этой формулой, найдите R (в омах), если P=211,25 Вт и I=6,5 А.
Скорость камня (в м/с), падающего с высоты h (в м), в момент удара о землю можно найти по формуле
. Найдите скорость (в м/с), с которой ударится о землю камень, падающий с высоты 1,6 м. Считайте, что ускорение свободного падения g равно 9,8 м/с2.
