Банк заданий ЕГЭ по базовой математике - страница 515
Вопросы
В посёлке городского типа всего 17 жилых домов. Высота каждого дома меньше 25 метров, но не меньше 5 метров. Выберите все утверждения, которые верны при указанных условиях.
1) В посёлке есть жилой дом высотой 25 метров.
2) Разница в высоте любых двух жилых домов в посёлке больше 6 метров.
3) В посёлке нет жилого дома высотой 4 метра.
4) Высота любого жилого дома в посёлке не меньше 3 метров.
В ответе запишите номера выбранных утверждений без пробелов, запятых и других дополнительных символов.
Двадцать выпускников одного из одиннадцатых классов сдавали ЕГЭ
по русскому языку. Самый низкий балл, полученный в этом классе
по русскому языку, был равен 28, а самый высокий — 83. Выберите все утверждения, которые верны при указанных условиях.
1) Среди этих выпускников есть человек, который получил 83 балла за ЕГЭ по русскому языку.
2) Среди этих выпускников есть двадцать человек с равными баллами
за ЕГЭ по русскому языку.
3) Среди этих выпускников есть человек, получивший 100 баллов за ЕГЭ
по русскому языку.
4) Баллы за ЕГЭ по русскому языку любого из этих двадцати человек
не ниже 27.
Некоторые сотрудники фирмы летом 2016 года отдыхали в Крыму, а некоторые — в Сочи. Все сотрудники, которые отдыхали в Сочи, не отдыхали в Крыму. Выберите все утверждения, которые верны при указанных условиях.
1) Если сотрудник этой фирмы летом 2016 года отдыхал в Крыму, то он отдыхал и в Сочи.
2) Каждый сотрудник этой фирмы отдыхал летом 2016 года в Крыму.
3) Среди сотрудников этой фирмы, которые не отдыхали в Сочи летом 2016 года, есть хотя бы один, который отдыхал в Крыму.
4) Нет ни одного сотрудника этой фирмы, который летом 2016 года отдыхал и в Крыму, и в Сочи.
На соревнованиях сборная России завоевала медалей больше, чем сборная Канады, сборная Канады — больше, чем сборная Германии,
а сборная Норвегии — меньше, чем сборная Канады. Выберите все утверждения, которые верны при указанных условиях.
1) Из названных сборных команда Канады заняла второе место по количеству медалей.
2) Среди названных сборных есть три, завоевавшие равное количество медалей.
3) Сборная Германии завоевала больше медалей, чем сборная России.
4) Сборная России завоевала больше медалей, чем каждая из остальных трёх сборных.
В ответе запишите номера выбранных утверждений без пробелов, запятых и других дополнительных символов.
Перед футбольным турниром измерили рост игроков футбольной команды города N. Оказалось, что рост каждого из футболистов этой команды больше 180 см и меньше 190 см. Выберите все утверждения, которые верны при указанных условиях.
1) В футбольной команде города N обязательно есть игрок, рост которого равен 170 см.
2) В футбольной команде города N нет игроков ростом 179 см.
3) Рост любого футболиста этой команды меньше 192 см.
4) Разница в росте любых двух игроков футбольной команды города N составляет больше 20 см.
В ответе запишите номера выбранных утверждений без пробелов, запятых и других дополнительных символов.
Когда учитель математики Иван Петрович ведёт урок, он обязательно отключает свой телефон. Выберите все утверждения, которые верны при приведённом условии.
1) Если телефон Ивана Петровича включён, значит, он не ведёт урок.
2) Если телефон Ивана Петровича включён, значит, он ведёт урок.
3) Если Иван Петрович проводит на уроке контрольную работу
по математике, значит, его телефон выключен.
4) Если Иван Петрович ведёт урок математики, значит, его телефон включён.
В ответе запишите номера выбранных утверждений без пробелов, запятых и других дополнительных символов.
Площадь четырёхугольника можно вычислить по формуле S=1/2*d1*d2*sin a, где d1 и d2 - длины диагоналей четырёхугольника, - угол между диагоналями. Пользуясь этой формулой, найдите длину диагонали d2 , если d1=7, sin a=6/11, S=21.
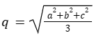
Среднее квадратичное трёх чисел a, b и c вычисляется по формуле
. Найдите среднее квадратичное чисел
, 7 и 9.
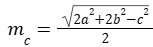
Длина медианы mc, проведённой к стороне c треугольника со сторонами a, b и c, вычисляется по формуле
. Найдите медиану mc , если a=2, b=
и c=4.
В фирме «Родник» стоимость (в рублях) колодца из железобетонных колец рассчитывается по формуле C=6000+4100n, где n — число колец, установленных при рытье колодца. Пользуясь этой формулой, рассчитайте стоимость колодца из 20 колец. Ответ дайте в рублях.
