Банк заданий ЕГЭ по базовой математике - страница 101
Вопросы
Потенциальная энергия тела (в джоулях) в поле тяготения Земли вблизи её поверхности вычисляется по формуле E=mgh, где m — масса тела (в килограммах), g — ускорение свободного падения (в м/с2), а h — высота (в метрах), на которой находится это тело, относительно поверхности. Пользуясь этой формулой, найдите m (в килограммах), если g=9,8 м/с2, h=2 м, а E=98 Дж.
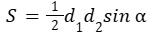
Площадь четырёхугольника можно вычислить по формуле
, где d1 и d2 — длины диагоналей четырёхугольника, α — угол между диагоналями. Пользуясь этой формулой, найдите площадь S, если d1=4, d2=7 и sinα=
.
Чтобы перевести температуру из шкалы Цельсия в шкалу Фаренгейта, пользуются формулой tF=1,8tC+32, где tC — температура в градусах по шкале Цельсия, tF — температура в градусах по шкале Фаренгейта. Скольким градусам по шкале Цельсия соответствует 30 градусов по шкале Цельсия?
Площадь поверхности прямоугольного параллелепипеда с ребрами 𝑎, 𝑏 и 𝑐 вычисляется по формуле 𝑆 = 2(𝑎𝑏 + 𝑎𝑐 + 𝑏𝑐). Найдите площадь поверхности прямоугольного параллелепипеда с ребрами 2, 5 и 7.
Перевести температуру из шкалы Фаренгейта в шкалу Цельсия позволяет формула
, где tC — температура в градусах по шкале Цельсия, tF — температура в градусах по шкале Фаренгейта. Скольким градусам по шкале Цельсия соответствует 212 градусов по шкале Фаренгейта?
Перевести температуру из шкалы Фаренгейта в шкалу Цельсия позволяет формула
, где tC — температура в градусах по шкале Цельсия, tF — температура в градусах по шкале Фаренгейта. Скольким градусам по шкале Цельсия соответствует 59 градусов по шкале Фаренгейта?
Длина биссектрисы 𝑙с, проведённой к стороне 𝑐 треугольника со сторонами 𝑎, 𝑏 и 𝑐, вычисляется по формуле
. Найдите биссектрису 𝑙с, если 𝑎 = 3, 𝑏 = 9 и 𝑐 =
.
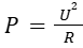
Мощность постоянного тока (в ваттах) вычисляется по формуле
, где U - напряжение (в вольтах), R - сопротивление (в омах). Пользуясь этой формулой, найдите 𝑃 (в ваттах), если 𝑅 = 6 Ом и 𝑈 = 12 В.
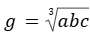
Среднее геометрическое трёх чисел a, b и c вычисляется по формуле
. Вычислите среднее геометрическое чисел 3, 8, 9.
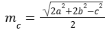
Длина медианы mc, проведённой к стороне c треугольника со сторонами a, b и c, вычисляется по формуле
. Найдите медиану mc, если a=7, b=9 и c=8.
