Банк заданий ЕГЭ по базовой математике - страница 102
Вопросы
Закон Гука можно записать в виде F=kx, где F — сила (в ньютонах), с которой сжимают пружину, х — абсолютное удлинение (сжатие) пружины (в метрах), a k — коэффициент упругости. Пользуясь этой формулой, найдите х (в метрах), если F = 51 Н и k = 3 Н/м.
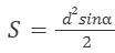
Площадь прямоугольника можно вычислить по формуле
, где d — длина диагонали, α — угол между диагоналями. Пользуясь этой формулой, найдите площадь S, если d=6 и sinα=
.
Работа постоянного тока (в джоулях) вычисляется по формуле
, где U - напряжение (в вольтах), R - сопротивление (в омах), t - время (в секундах). Пользуясь этой формулой, найдите A (в джоулях), если t = 18 с, 𝑅 = 14 Ом и 𝑈 = 7 В.
Площадь четырёхугольника можно вычислить по формуле
, где d1 и d2 — длины диагоналей четырёхугольника, α — угол между диагоналями. Пользуясь этой формулой, найдите длину диагонали d2, если d1= 6, sinα =
, a 𝑆 = 18.
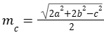
Длина медианы mc, проведённой к стороне c треугольника со сторонами a, b и c, вычисляется по формуле
. Найдите медиану mc, если a=4, b=
и c=2.
Среднее геометрическое трёх чисел a, b и c вычисляется по формуле
. Вычислите среднее геометрическое чисел 4, 8, 16
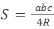
Площадь треугольника можно вычислить по формуле
, где a, b и c — стороны треугольника, а R — радиус окружности, описанной около этого треугольника. Пользуясь этой формулой, найдите площадь S, если a = 15, b = 28, c = 41 и R = ![]()
Среднее гармоническое трёх чисел a, b и c вычисляется по формуле
. Найдите среднее гармоническое чисел
,
и
.
Площадь треугольника можно вычислить по формуле
, где a, b и c — стороны треугольника, а R — радиус окружности, описанной около этого треугольника. Пользуясь этой формулой, найдите площадь S, если a = 12, b = 17, c = 25 и R =
.
Перевести температуру из шкалы Фаренгейта в шкалу Цельсия позволяет формула
, где tC — температура в градусах по шкале Цельсия, tF — температура в градусах по шкале Фаренгейта. Скольким градусам по шкале Цельсия соответствует 230 градусов по шкале Фаренгейта?
