Банк заданий ЕГЭ по базовой математике - страница 103
Вопросы
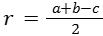
Радиус вписанной в прямоугольный треугольник окружности вычисляется по формуле
, где a и b — катеты, а c — гипотенуза. Пользуясь этой формулой, найдите r, если a = 52, b = 165 и c = 173.
Среднее геометрическое трёх чисел a, b и c вычисляется по формуле
. Вычислите среднее геометрическое чисел 4, 18, 81.
В фирме «Родник» стоимость (в рублях) колодца из железобетонных колец рассчитывается по формуле C=6000+4100n, где n — число колец, установленных при рытье колодца. Пользуясь этой формулой, рассчитайте стоимость колодца из 7 колец. Ответ укажите в рублях.
Сумма углов выпуклого многоугольника вычисляется по формуле Σ=(n−2)π, где n — количество его углов. Пользуясь этой формулой, найдите n, если Σ=9π.
Ускорение тела (в м/с2) при равномерном движении по окружности можно вычислить по формуле a=𝜔2R, где 𝜔 — угловая скорость вращения (в с-1), а 𝑅 — радиус окружности (в метрах). Пользуясь этой формулой, найдите 𝑎 (в м/с2), если 𝑅 = 4 м и 𝜔 = 7 с-1.
Зная длину своего шага, человек может приближённо подсчитать пройденное им расстояние 𝑠 по формуле 𝑠=𝑛l, где 𝑛 — число шагов, 𝑙 — длина шага. Какое расстояние прошёл человек, если 𝑙 = 50 см, 𝑛 = 1600? Ответ дайте в метрах.
Чтобы перевести температуру из шкалы Цельсия в шкалу Фаренгейта, пользуются формулой tF=1,8tC+32, где tC — температура в градусах по шкале Цельсия, tF — температура в градусах по шкале Фаренгейта. Скольким градусам по шкале Фаренгейта соответствует -10 градусов по шкале Цельсия?
Скорость камня (в м/с), падающего с высоты h (в м), в момент удара о землю можно найти по формуле
. Найдите скорость (в м/с), с которой ударится о землю камень, падающий с высоты 3,6 м. Считайте, что ускорение свободного падения g равно 9,8 м/с2.
Мощность постоянного тока (в ваттах) вычисляется по формуле
, где U - напряжение (в вольтах), R - сопротивление (в омах). Пользуясь этой формулой, найдите 𝑃 (в ваттах), если 𝑅 = 6 Ом и 𝑈 = 18 В.
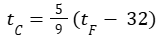
Перевести температуру из шкалы Фаренгейта в шкалу Цельсия позволяет формула
, где tC — температура в градусах по шкале Цельсия, tF — температура в градусах по шкале Фаренгейта. Скольким градусам по шкале Цельсия соответствует 257 градусов по шкале Фаренгейта?
