Банк заданий ЕГЭ по базовой математике - страница 99
Вопросы
В фирме «Чистая вода» стоимость (в рублях) колодца из железобетонных колец рассчитывается по формуле C=6000+4100n, где n — число колец, установленных при рытье колодца. Пользуясь этой формулой, рассчитайте стоимость колодца из 14 колец. Ответ дайте в рублях.
Площадь трапеции вычисляется по формуле
, где a и b — длины оснований трапеции, h — её высота. Пользуясь этой формулой, найдите площадь S, если a=3, b=6 и h=4.
В фирме «Чистая вода» стоимость (в рублях) колодца из железобетонных колец рассчитывается по формуле C=6000+4100n, где n — число колец, установленных при рытье колодца. Пользуясь этой формулой, рассчитайте стоимость колодца из 13 колец. Ответ дайте в рублях.
Площадь поверхности прямоугольного параллелепипеда с рёбрами длиной a, b и c вычисляется по формуле S=2(ab+ac+bc). Найдите площадь поверхности прямоугольного параллелепипеда с рёбрами 2, 5 и 6.
Среднее геометрическое трёх чисел a, b и c вычисляется по формуле
. Вычислите среднее геометрическое чисел 4, 8, 16.
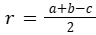
Радиус вписанной в прямоугольный треугольник окружности вычисляется по формуле
, где a и b — катеты, а c — гипотенуза. Пользуясь этой формулой, найдите r, если a=32, b=255 и c=257.
Чтобы перевести температуру из шкалы Цельсия в шкалу Фаренгейта, пользуются формулой tF=1,8tC+32, где tC — температура в градусах по шкале Цельсия, tF — температура в градусах по шкале Фаренгейта. Скольким градусам по шкале Фаренгейта соответствует 124 градусов по шкале Цельсия?
Радиус вписанной в прямоугольный треугольник окружности вычисляется по формуле
, где a и b — катеты, а c — гипотенуза. Пользуясь этой формулой, найдите r, если a=21, b=220 и c=221.
Площадь четырёхугольника можно вычислить по формуле
, где d1 и d2 – длины диагоналей четырёхугольника, α – угол между диагоналями, Пользуясь этой формулой, найдите площадь S, если d1=6, d2=14 и sin α=
.
В фирме “Родник” стоимость (в рублях) колодца из железобетонных колец рассчитывается по формуле C = 6000 + 4100n, где n – число колец, установленных при рытье колодца. Пользуясь этой формулой, рассчитайте стоимость колодца из 4 колец. Ответ дайте в рублях.
