Банк заданий ЕГЭ по базовой математике - страница 100
Вопросы
Среднее гармоническое трёх чисел 𝑎, 𝑏 и 𝑐 вычисляется по формуле
. Найдите среднее гармоническое чисел
,
и 1.
Площадь поверхности прямоугольного параллелепипеда с рёбрами a, b и c вычисляется по формуле S=2(ab+ac+bc). Найдите площадь поверхности прямоугольного параллелепипеда с рёбрами 2, 4 и 5.
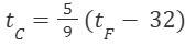
Перевести температуру из шкалы Фаренгейта в шкалу Цельсия позволяет формула
, где tC — температура в градусах по шкале Цельсия, tF — температура в градусах по шкале Фаренгейта. Скольким градусам по шкале Цельсия соответствует 149 градусов по шкале Фаренгейта?
Работа постоянного тока (в джоулях) вычисляется по формуле
, где U — напряжение (в вольтах), R — сопротивление (в омах), t — время (в секундах). Пользуясь этой формулой, найдите A (в джоулях), если t=9 с, U=8 B и R=12 Ом.
Площадь поверхности прямоугольного параллелепипеда с рёбрами a, b и c вычисляется по формуле S=2(ab+ac+bc). Найдите площадь поверхности прямоугольного параллелепипеда с рёбрами 5, 6 и 20.
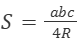
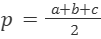
Площадь треугольника можно вычислить по формуле
, где a, b и c — стороны треугольника, а R — радиус окружности, описанной около этого треугольника. Пользуясь этой формулой, найдите b, если a = 11, с = 25, S = 30 и R =
.
Площадь треугольника со сторонами a, b, c можно найти по формуле Герона
, где
. Найдите площадь треугольника со сторонами 10, 24, 26.
Среднее гармоническое трёх чисел a, b и c вычисляется по формуле
. Найдите среднее гармоническое чисел
,
и
.
Среднее гармоническое трёх чисел a, b и c вычисляется по формуле
. Найдите среднее гармоническое чисел
,
и
.
Среднее гармоническое трёх чисел a, b и c вычисляется по формуле
. Найдите среднее гармоническое чисел
,
и 1.
