Банк заданий ЕГЭ по профильной математике - страница 256
Вопросы
Найдите все значения a, при каждом из которых система уравнений

имеет ровно два различных решения.
Найдите все значения a, при каждом из которых система уравнений

имеет ровно два различных решения.
Найти все значения параметра a, при которых уравнение
|x2+a2−6x+4a|=2x−2a
имеет ровно два различных корня.
В правильной треугольной призме ABCA₁B₁C₁ сторона АВ основания равна 6, а боковое ребро АА₁ равно 4. На рёбрах АА₁ и BB₁ отмечены точки M и N соответственно, причём AM=BN=3.
а) Точки О и О₁ — центры окружностей, описанных около треугольников АВС и А₁B₁C₁ соответственно. Докажите, что прямая OO₁ содержит точку пересечения медиан треугольника CMN.
б) Найдите расстояние от точки C₁ до плоскости CMN.
В цилиндре образующая перпендикулярна плоскости основания. На окружности одного из оснований цилиндра выбраны точки A и B, а на окружности другого основания — точки B₁ и C₁, причём BB₁ — образующая цилиндра, а отрезок AC₁ пересекает ось цилиндра.
а) Докажите, что угол ABC₁ прямой.
б) Найдите угол между прямыми BB₁ и AC₁, если AB=6, BB₁=15, B₁C₁=8.
Точка M — середина бокового ребра SC правильной четырёхугольной пирамиды SABCD. Точка N лежит на стороне основания BC. Плоскость α проходит через точки M и N параллельно боковому ребру SA.
а) Плоскость α пересекает боковое ребро SD в точке L. Докажите, что BN:NC=DL:LS.
б) Плоскость α, делит пирамиду SABCD на два многогранника. Найдите отношение их объёмов, если BN:NC=1:3.
В прямоугольном параллелепипеде ABCDA₁B₁C₁D₁ известны длины рёбер: AB=2√2, AD=6, AA₁=10. На рёбрах AA₁ и BB₁ отмечены точки E и F соответственно, причём A₁E:EA=3:2 и B₁F:FB=3:7. Точка T — середина ребра B₁C₁.
а) Докажите, что плоскость EFT проходит через точку D₁.
б) Найдите площадь сечения параллелепипеда плоскостью EFT.
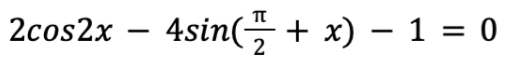
а) Решите уравнение 
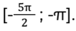
б) Укажите корни этого уравнения, принадлежащие отрезку 
а) Решите уравнение 
б) Укажите корни этого уравнения, принадлежащие отрезку 
На ребре AA1 прямоугольного параллелепипеда ABCDA1B1C1D1 взята точка E так, что A1E : EA = 5 : 2. Точка T — середина ребра B1C1.
а) Докажите, что сечение параллелепипеда плоскостью ETD1 является трапецией.
б) Найдите угол между плоскостью ETD1 и плоскостью A1B1C1, если известно, что AB=32, AD=4, AA1=14.
