Математика профиль ЕГЭ - банк заданий - страница 131
Профильная математика
Вопросы
КИМ №6
1 часть
Раздел: 6. Уравнения
Тема: 6. Логарифмические уравнения
Источник: Иван Валериевич Ященко
Решите уравнение log₅(2x+3)=log0,2(x+1). Если уравнение имеет больше одного корня, в ответе запишите меньший из корней.
КИМ №6
1 часть
Раздел: 6. Уравнения
Тема: 6. Логарифмические уравнения
Источник: Иван Валериевич Ященко
Решите уравнение log₂(x+5)=log₄(1−x). Если уравнение имеет больше одного корня, в ответе запишите меньший из корней.
КИМ №6
1 часть
Раздел: 6. Уравнения
Тема: 6. Иррациональные уравнения
Источник: Иван Валериевич Ященко
Найдите корень уравнения 
КИМ №6
1 часть
Раздел: 6. Уравнения
Тема: 6. Иррациональные уравнения
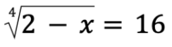
Источник: Иван Валериевич Ященко
Найдите корень уравнения 
КИМ №6
1 часть
Раздел: 6. Уравнения
Тема: 6. Иррациональные уравнения
Источник: Иван Валериевич Ященко
Решите уравнение
Если уравнение имеет больше одного корня, в ответе запишите меньший из корней.
КИМ №6
1 часть
Раздел: 6. Уравнения
Тема: 6. Иррациональные уравнения
Источник: Иван Валериевич Ященко
Решите уравнение
Если уравнение имеет больше одного корня, в ответе запишите больший из корней.
КИМ №6
1 часть
Раздел: 6. Уравнения
Тема: 6. Логарифмические уравнения
Источник: Иван Валериевич Ященко
Найдите корень уравнения log₃(5−2x)=log₃(1−4x)+1.
КИМ №6
1 часть
Раздел: 6. Уравнения
Тема: 6. Показательные уравнения
Источник: Иван Валериевич Ященко
Найдите корень уравнения log₄(7+6x)=log₄(1+x)+2.
КИМ №6
1 часть
Раздел: 6. Уравнения
Тема: 6. Тригонометрические уравнения
Источник: Иван Валериевич Ященко
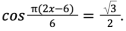
Решите уравнение
В ответе запишите наибольший отрицательный корень.
КИМ №6
1 часть
Раздел: 6. Уравнения
Тема: 6. Тригонометрические уравнения
Источник: Иван Валериевич Ященко
Решите уравнение
В ответе запишите наименьший положительный корень.
