Банк заданий ЕГЭ по базовой математике - страница 355
Базовая математика
Вопросы
КИМ №14
1 часть
Раздел: 14. Вычисления
Тема: 14. Действия с десятичными дробями
Источник: Открытый банк заданий ФИПИ
Найдите значение выражения 1,71:0,9−0,4
КИМ №14
1 часть
Раздел: 14. Вычисления
Тема: 14. Действия с обыкновенными дробями
Источник: Открытый банк заданий ФИПИ
Найдите значение выражения 
КИМ №16
1 часть
Раздел: 16. Вычисления и преобразования
Тема: 16. Преобразования числовых иррациональных выражений
Источник: Открытый банк заданий ФИПИ
Найдите значение выражения 
КИМ №16
1 часть
Раздел: 16. Вычисления и преобразования
Тема: 16. Действия со степенями
Источник: Открытый банк заданий ФИПИ
Найдите значение выражения 
КИМ №16
1 часть
Раздел: 16. Вычисления и преобразования
Тема: 16. Действия со степенями
Источник: Открытый банк заданий ФИПИ
Найдите значение выражения 
КИМ №16
1 часть
Раздел: 16. Вычисления и преобразования
Тема: 16. Действия со степенями
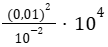
Источник: Открытый банк заданий ФИПИ
Найдите значение выражения 
КИМ №16
1 часть
Раздел: 16. Вычисления и преобразования
Тема: 16. Действия со степенями
Источник: Открытый банк заданий ФИПИ
Найдите значение выражения 7,8⋅103+2,1⋅102
КИМ №16
1 часть
Раздел: 16. Вычисления и преобразования
Тема: 16. Преобразования числовых логарифмических выражений
Источник: Открытый банк заданий ФИПИ
Найдите значение выражения log340,5+log36
КИМ №14
1 часть
Раздел: 14. Вычисления
Тема: 14. Действия с десятичными дробями
Источник: Открытый банк заданий ФИПИ
Найдите значение выражения 2,4⋅6,5+1,6.
КИМ №16
1 часть
Раздел: 16. Вычисления и преобразования
Тема: 16. Действия со степенями
Источник: Открытый банк заданий ФИПИ
Найдите значение выражения 7⋅103+9⋅102+8⋅101
