Банк заданий ЕГЭ по базовой математике - страница 353
Базовая математика
Вопросы
КИМ №14
1 часть
Раздел: 14. Вычисления
Тема: 14. Действия с десятичными дробями
Источник: Открытый банк заданий ФИПИ
Найдите значение выражения 9,2⋅3,5+2,9.
КИМ №14
1 часть
Раздел: 14. Вычисления
Тема: 14. Действия с обыкновенными дробями
Источник: Открытый банк заданий ФИПИ
Найдите значение выражения 
КИМ №14
1 часть
Раздел: 14. Вычисления
Тема: 14. Разные задачи
Источник: Открытый банк заданий ФИПИ
Найдите значение выражения 
КИМ №16
1 часть
Раздел: 16. Вычисления и преобразования
Тема: 16. Преобразования числовых иррациональных выражений
Источник: Открытый банк заданий ФИПИ
Найдите значение выражения 
КИМ №16
1 часть
Раздел: 16. Вычисления и преобразования
Тема: 16. Действия со степенями
Источник: Открытый банк заданий ФИПИ
Найдите значение выражения 4,6⋅10³+2,4⋅10²
КИМ №16
1 часть
Раздел: 16. Вычисления и преобразования
Тема: 16. Преобразования числовых иррациональных выражений
Источник: Открытый банк заданий ФИПИ
Найдите значение выражения 
КИМ №16
1 часть
Раздел: 16. Вычисления и преобразования
Тема: 16. Преобразования числовых логарифмических выражений
Источник: Открытый банк заданий ФИПИ
Найдите значение выражения log2256-log24
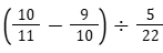
КИМ №14
1 часть
Раздел: 14. Вычисления
Тема: 14. Действия с обыкновенными дробями
Источник: Открытый банк заданий ФИПИ
Найдите значение выражения 
КИМ №14
1 часть
Раздел: 14. Вычисления
Тема: 14. Разные задачи
Источник: Открытый банк заданий ФИПИ
Найдите значение выражения 1,3/(1+¼)
КИМ №14
1 часть
Раздел: 14. Вычисления
Тема: 14. Действия с обыкновенными дробями
Источник: Открытый банк заданий ФИПИ
Найдите значение выражения 
