Банк заданий ЕГЭ по базовой математике - страница 237
Базовая математика
Вопросы
КИМ №17
1 часть
Раздел: 17. Простейшие уравнения
Тема: 17. Линейные, квадратные, кубические уравнения
Источник: Открытый банк заданий ФИПИ
Найдите корень уравнения − 5 + 2x = −3x + 6.
КИМ №17
1 часть
Раздел: 17. Простейшие уравнения
Тема: 17. Показательные уравнения
Источник: Открытый банк заданий ФИПИ
Найдите корень уравнения 
КИМ №17
1 часть
Раздел: 17. Простейшие уравнения
Тема: 17. Линейные, квадратные, кубические уравнения
Источник: Открытый банк заданий ФИПИ
Найдите корень уравнения 10x − 5 = −10x − 9.
КИМ №17
1 часть
Раздел: 17. Простейшие уравнения
Тема: 17. Показательные уравнения
Источник: Открытый банк заданий ФИПИ
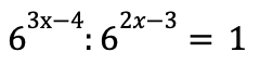
Найдите корень уравнения 
КИМ №17
1 часть
Раздел: 17. Простейшие уравнения
Тема: 17. Показательные уравнения
Источник: Открытый банк заданий ФИПИ
Найдите корень уравнения 
КИМ №17
1 часть
Раздел: 17. Простейшие уравнения
Тема: 17. Линейные, квадратные, кубические уравнения
Источник: Открытый банк заданий ФИПИ
Найдите корень уравнения 5 − 6(−2x + 5) = − 1
КИМ №17
1 часть
Раздел: 17. Простейшие уравнения
Тема: 17. Линейные, квадратные, кубические уравнения
Источник: Открытый банк заданий ФИПИ
Найдите корень уравнения 4 − 2x = −4x + 5.
КИМ №17
1 часть
Раздел: 17. Простейшие уравнения
Тема: 17. Показательные уравнения
Источник: Открытый банк заданий ФИПИ
Найдите корень уравнения 
КИМ №17
1 часть
Раздел: 17. Простейшие уравнения
Тема: 17. Линейные, квадратные, кубические уравнения
Источник: Открытый банк заданий ФИПИ
Найдите корень уравнения 4(− 7 − x) − 5x = 8
КИМ №17
1 часть
Раздел: 17. Простейшие уравнения
Тема: 17. Логарифмические уравнения
Источник: Открытый банк заданий ФИПИ
Найдите корень уравнения 
