Банк заданий ЕГЭ по базовой математике - страница 235
Базовая математика
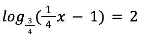
Вопросы
КИМ №17
1 часть
Раздел: 17. Простейшие уравнения
Тема: 17. Логарифмические уравнения
Источник: Открытый банк заданий ФИПИ
Найдите корень уравнения 
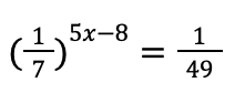
КИМ №17
1 часть
Раздел: 17. Простейшие уравнения
Тема: 17. Показательные уравнения
Источник: Открытый банк заданий ФИПИ
Найдите корень уравнения 
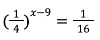
КИМ №17
1 часть
Раздел: 17. Простейшие уравнения
Тема: 17. Показательные уравнения
Источник: Открытый банк заданий ФИПИ
Найдите корень уравнения 
КИМ №17
1 часть
Раздел: 17. Простейшие уравнения
Тема: 17. Линейные, квадратные, кубические уравнения
Источник: Открытый банк заданий ФИПИ
Найдите корень уравнения -8(3 + х) + х = 4.
КИМ №17
1 часть
Раздел: 17. Простейшие уравнения
Тема: 17. Логарифмические уравнения
Источник: Открытый банк заданий ФИПИ
Найдите корень уравнения 
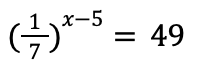
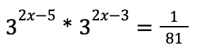
КИМ №17
1 часть
Раздел: 17. Простейшие уравнения
Тема: 17. Показательные уравнения
Источник: Открытый банк заданий ФИПИ
Найдите корень уравнения 
КИМ №17
1 часть
Раздел: 17. Простейшие уравнения
Тема: 17. Логарифмические уравнения
Источник: Открытый банк заданий ФИПИ
Найдите корень уравнения 
КИМ №17
1 часть
Раздел: 17. Простейшие уравнения
Тема: 17. Показательные уравнения
Источник: Открытый банк заданий ФИПИ
Найдите корень уравнения 
КИМ №17
1 часть
Раздел: 17. Простейшие уравнения
Тема: 17. Линейные, квадратные, кубические уравнения
Источник: Открытый банк заданий ФИПИ
Решите уравнение x² = − 2x + 24.
Если уравнение имеет более одного корня, в ответе укажите больший из них.
КИМ №17
1 часть
Раздел: 17. Простейшие уравнения
Тема: 17. Логарифмические уравнения
Источник: Открытый банк заданий ФИПИ
Найдите корень уравнения 
