Банк заданий ЕГЭ по базовой математике - страница 239
Базовая математика
Вопросы
КИМ №17
1 часть
Раздел: 17. Простейшие уравнения
Тема: 17. Показательные уравнения
Источник: Открытый банк заданий ФИПИ
Найдите корень уравнения 
КИМ №17
1 часть
Раздел: 17. Простейшие уравнения
Тема: 17. Показательные уравнения
Источник: Открытый банк заданий ФИПИ
Найдите корень уравнения 7(8+x)=49
КИМ №17
1 часть
Раздел: 17. Простейшие уравнения
Тема: 17. Линейные, квадратные, кубические уравнения
Источник: Открытый банк заданий ФИПИ
Решите уравнение x² − 4x = 0. Если уравнение имеет больше одного корня, в ответе запишите больший из них.
КИМ №17
1 часть
Раздел: 17. Простейшие уравнения
Тема: 17. Показательные уравнения
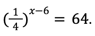
Источник: Открытый банк заданий ФИПИ
Найдите корень уравнения 
КИМ №17
1 часть
Раздел: 17. Простейшие уравнения
Тема: 17. Линейные, квадратные, кубические уравнения
Источник: Открытый банк заданий ФИПИ
Решите уравнение x2 + 4 = 5x. Если уравнение имеет более одного корня, в ответе укажите меньший из них.
КИМ №17
1 часть
Раздел: 17. Простейшие уравнения
Тема: 17. Линейные, квадратные, кубические уравнения
Источник: Открытый банк заданий ФИПИ
Найдите корень уравнения 5х - 1 = 10х + 8.
КИМ №17
1 часть
Раздел: 17. Простейшие уравнения
Тема: 17. Показательные уравнения
Источник: Открытый банк заданий ФИПИ
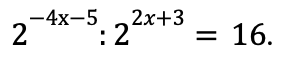
Найдите корень уравнения 
КИМ №17
1 часть
Раздел: 17. Простейшие уравнения
Тема: 17. Линейные, квадратные, кубические уравнения
Источник: Открытый банк заданий ФИПИ
Найдите корень уравнения 6 - 2х = 3х - 10.
КИМ №17
1 часть
Раздел: 17. Простейшие уравнения
Тема: 17. Линейные, квадратные, кубические уравнения
Источник: Открытый банк заданий ФИПИ
Решите уравнение x2 - 4х = 0. Если уравнение имеет более одного корня, в ответе укажите больший из них.
КИМ №17
1 часть
Раздел: 17. Простейшие уравнения
Тема: 17. Логарифмические уравнения
Источник: Открытый банк заданий ФИПИ
Найдите корень уравнения 
