Банк заданий ЕГЭ по базовой математике - страница 238
Базовая математика
Вопросы
КИМ №17
1 часть
Раздел: 17. Простейшие уравнения
Тема: 17. Линейные, квадратные, кубические уравнения
Источник: Открытый банк заданий ФИПИ
Найдите корень уравнения 3 − 3(5 − 2x) = 8x − 2 .
КИМ №17
1 часть
Раздел: 17. Простейшие уравнения
Тема: 17. Линейные, квадратные, кубические уравнения
Источник: Открытый банк заданий ФИПИ
Решите уравнение x2 + 11x = − 28. Если уравнение имеет более одного корня, в ответе укажите меньший из них.
КИМ №17
1 часть
Раздел: 17. Простейшие уравнения
Тема: 17. Линейные, квадратные, кубические уравнения
Источник: Открытый банк заданий ФИПИ
Решите уравнение x2 + 6 = 5x. Если уравнение имеет более одного корня, в ответе укажите больший из них.
КИМ №17
1 часть
Раздел: 17. Простейшие уравнения
Тема: 17. Линейные, квадратные, кубические уравнения
Источник: Открытый банк заданий ФИПИ
Решите уравнение x2 = 4x . Если уравнение имеет больше одного корня, в ответе запишите больший из них.
КИМ №17
1 часть
Раздел: 17. Простейшие уравнения
Тема: 17. Показательные уравнения
Источник: Открытый банк заданий ФИПИ
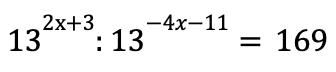
Найдите корень уравнения 
КИМ №17
1 часть
Раздел: 17. Простейшие уравнения
Тема: 17. Показательные уравнения
Источник: Открытый банк заданий ФИПИ
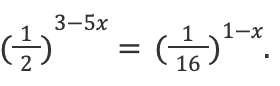
Найдите корень уравнения 
КИМ №17
1 часть
Раздел: 17. Простейшие уравнения
Тема: 17. Линейные, квадратные, кубические уравнения
Источник: Открытый банк заданий ФИПИ
Найдите корень уравнения − 8 − 4x = −3x − 3
КИМ №17
1 часть
Раздел: 17. Простейшие уравнения
Тема: 17. Показательные уравнения
Источник: Открытый банк заданий ФИПИ
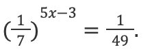
Найдите корень уравнения 
КИМ №17
1 часть
Раздел: 17. Простейшие уравнения
Тема: 17. Линейные, квадратные, кубические уравнения
Источник: Открытый банк заданий ФИПИ
Решите уравнение x2 − 25 = 0 . Если уравнение имеет больше одного корня, в ответе запишите больший из них.
КИМ №17
1 часть
Раздел: 17. Простейшие уравнения
Тема: 17. Показательные уравнения
Источник: Открытый банк заданий ФИПИ
Найдите корень уравнения 
