Банк заданий ЕГЭ по базовой математике - страница 349
Базовая математика
Вопросы
КИМ №4
1 часть
Раздел: 4. Преобразования выражений
Тема: 4. Формулы с тремя переменными
Источник: Открытый банк заданий ФИПИ
Зная длину своего шага, человек может приближённо подсчитать пройденное им расстояние s по формуле s=nl, где n—число шагов, l — длина шага. Какое расстояние прошёл человек, если l=50 см, n=1100? Ответ дайте в метрах.
КИМ №4
1 часть
Раздел: 4. Преобразования выражений
Тема: 4. Формулы с большим числом переменных
Источник: Открытый банк заданий ФИПИ
Работа постоянного тока (в джоулях) вычисляется по формуле A=U2t/R, где U — напряжение (в вольтах), R — сопротивление (в омах), t — время (в секундах). Пользуясь этой формулой, найдите А (в джоулях), если t=15 c, U=6 В и R=9 Ом
КИМ №14
1 часть
Раздел: 14. Вычисления
Тема: 14. Действия с обыкновенными дробями
Источник: Открытый банк заданий ФИПИ
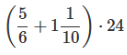
Найдите значение выражения 
КИМ №14
1 часть
Раздел: 14. Вычисления
Тема: 14. Действия с десятичными дробями
Источник: Открытый банк заданий ФИПИ
Найдите значение выражения 6,6⋅10-1+8,6⋅10-2
КИМ №14
1 часть
Раздел: 14. Вычисления
Тема: 14. Действия с обыкновенными дробями
Источник: Открытый банк заданий ФИПИ
Найдите значение выражения 
КИМ №16
1 часть
Раздел: 16. Вычисления и преобразования
Тема: 16. Преобразования числовых иррациональных выражений
Источник: Открытый банк заданий ФИПИ
Найдите значение выражения 
КИМ №16
1 часть
Раздел: 16. Вычисления и преобразования
Тема: 16. Действия со степенями
Источник: Открытый банк заданий ФИПИ
Найдите значение выражения 
КИМ №14
1 часть
Раздел: 14. Вычисления
Тема: 14. Действия с обыкновенными дробями
Источник: Открытый банк заданий ФИПИ
Найдите значение выражения 
КИМ №14
1 часть
Раздел: 14. Вычисления
Тема: 14. Действия с обыкновенными дробями
Источник: Открытый банк заданий ФИПИ
Найдите значение выражения 
КИМ №16
1 часть
Раздел: 16. Вычисления и преобразования
Тема: 16. Преобразования числовых иррациональных выражений
Источник: Открытый банк заданий ФИПИ
Найдите значение выражения 
