Банк заданий ЕГЭ по базовой математике - страница 278
Вопросы
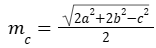
Длина медианы mc, проведённой к стороне c треугольника со сторонами a, b и c, вычисляется по формуле
. Найдите медиану mc, если a=
, b=
и c=3.
Площадь поверхности прямоугольного параллелепипеда с рёбрами a, b и c вычисляется по формуле S=2(ab+ac+bc). Найдите площадь поверхности прямоугольного параллелепипеда с рёбрами 5, 6 и 7.
Площадь поверхности прямоугольного параллелепипеда с ребрами a, b и c вычисляется по формуле S=2(ab+ac+bc). Найдите площадь поверхности прямоугольного параллелепипеда с ребрами 3, 5 и 9.
Среднее гармоническое трёх чисел a, b и c вычисляется по формуле
. Найдите среднее гармоническое чисел 1/4, 1/5 и 1.
Перевести температуру из шкалы Фаренгейта в шкалу Цельсия позволяет формула
, где tC — температура в градусах по шкале Цельсия, tF — температура в градусах по шкале Фаренгейта. Скольким градусам по шкале Цельсия соответствует 266 градусов по шкале Фаренгейта?
Энергия заряженного конденсатора W (в Дж) вычисляется по формуле W=CU²/2, где C — ёмкость конденсатора (в Ф), а U — разность потенциалов на обкладках конденсатора (в В). Найдите W (в Дж), если C=2⋅10− 4 Ф и U=13 В.
Площадь треугольника со сторонами a, b, c можно найти по формуле Герона
, где
. Найдите площадь треугольника, если длины его сторон равны 5, 122, 123.
Мощность постоянного тока (в ваттах) вычисляется по формуле P=I²R, где I — сила тока (в амперах), R — сопротивление (в омах). Пользуясь этой формулой, найдите R (в омах), если P=891 Вт и I=9 А.
Площадь четырёхугольника можно вычислить по формуле 𝑆=1/2*𝑑1*𝑑2*sinα, где d1 и d2 — длины диагоналей четырёхугольника, α — угол между диагоналями. Пользуясь этой формулой, найдите длину диагонали d1, если d2=14, sinα=3/14, a S=3.
Чтобы перевести температуру из шкалы Цельсия в шкалу Фаренгейта, пользуются формулой tF = 1,8tC + 32, где tC — температура в градусах по шкале Цельсия, tF — температура в градусах по шкале Фаренгейта. Скольким градусам по шкале Фаренгейта соответствует −20 градусов по шкале Цельсия?
