Банк заданий ЕГЭ по базовой математике - страница 234
Вопросы
Налог на доходы составляет 13% от заработной платы. Заработная плата Ивана Кузьмича равна 14 500 рублей. Какую сумму он получит после уплаты налога на доходы? Ответ дайте в рублях.
В начале года число абонентов телефонной компании «Север» составляло 200 тыс. человек, а в конце года их стало 250 тыс. человек. На сколько процентов увеличилось за год число абонентов этой компании?
На пост председателя школьного совета претендовали два кандидата. В голосовании приняли участие 72 человека. Голоса между кандидатами распределились в отношении 4:5. Сколько голосов получил победитель?
Площадь земель фермерского хозяйства, отведённых под посадку сельскохозяйственных культур, составляет 72 гектара и распределена между зерновыми и зернобобовыми культурами в отношении 7:2 соответственно. Сколько гектаров занимают зерновые культуры?
Городской бюджет составляет 61 млн рублей, а расходы на одну из его статей составили 25%. Сколько миллионов рублей потрачено на эту статью бюджета?
Найдите корень уравнения 
Найдите корень уравнения 2(3 - 2x) - 7 = -3x + 8
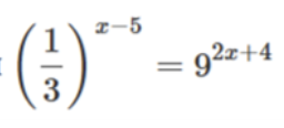
Найдите корень уравнения 
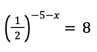
Найдите корень уравнения 
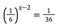
Найдите корень уравнения 
