Банк заданий ЕГЭ по базовой математике - страница 195
Вопросы
Работа постоянного тока (в джоулях) вычисляется по формуле А=(U2t)/R, где U — напряжение (в вольтах), R — сопротивление (в омах), t — время (в секундах). Пользуясь этой формулой, найдите A (в джоулях), если t=15 c, U=6 В и R=9 Ом.
Площадь трапеции вычисляется по формуле
, где a и b — длины оснований трапеции, h — её высота. Пользуясь этой формулой, найдите площадь S, если a=3, b=8 и h=4.
Ускорение тела (в м/с2) при равномерном движении по окружности можно вычислить по формуле a=ω2R, где ω — угловая скорость вращения (в с-1 ), а R — радиус окружности (в метрах). Пользуясь этой формулой, найдите a (в м/с2), если R=0,5 м и ω=16 c-1
Найдите корень уравнения log6(4x+21) = log69
Найдите корень уравнения 
Найдите корень уравнения 1 + 3x = -2x + 2
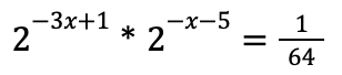
Найдите корень уравнения 
Найдите корень уравнения 
Найдите корень уравнения 
Найдите корень уравнения 
