Банк заданий ЕГЭ по обществознанию
Вопросы
Ниже приведён перечень характеристик. Все они, за исключением двух, относятся к типам мировоззрения. Найдите две характеристики, «выпадающие» из общего ряда.
Ниже приведён перечень терминов. Все они, за исключением двух, относятся к формам общественного сознания.
Ниже приведён перечень терминов. Все они, за исключением двух, представляют собой виды знаний. Найдите две характеристики, «выпадающие» из общего ряда.
В ходе социологического опроса в регионе Z молодым людям был задан вопрос об их личных приоритетах в ведении здорового образа жизни. Полученные результаты (в % от числа опрошенных) представлены в виде таблицы.
Социологи стран Y и Z провели опросы совершеннолетних граждан об их оценке вероятности появления проблем в их жизни. Полученные результаты (в % от числа опрошенных, можно было дать несколько ответов, примерно равное количество опрошенных) представлены в виде диаграммы. Найдите в приведённом списке выводы, которые можно сделать на основе диаграммы, и запишите цифры, под которыми они указаны.
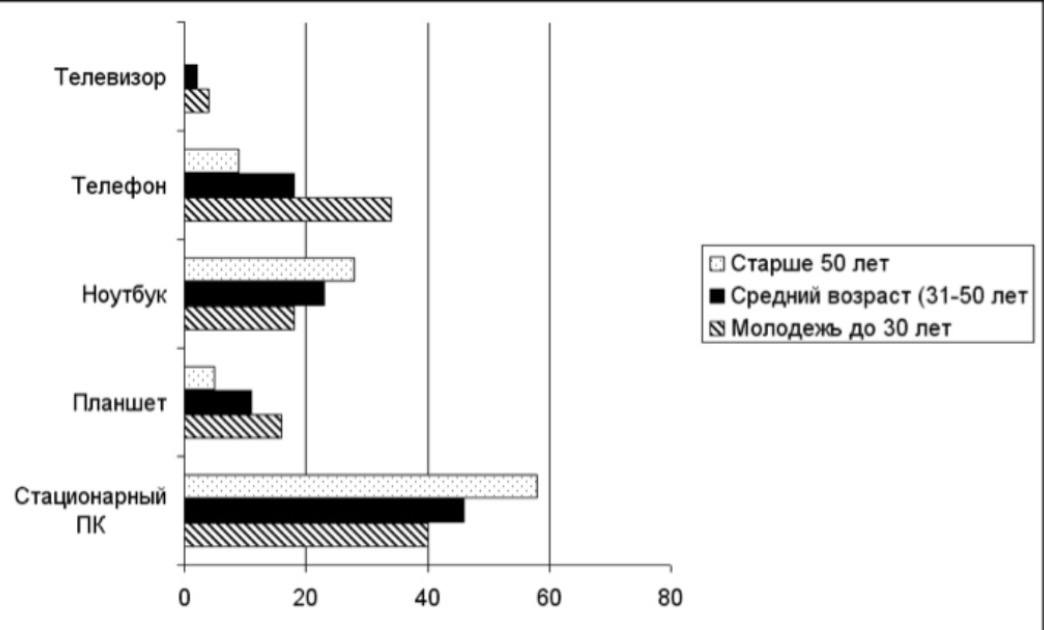
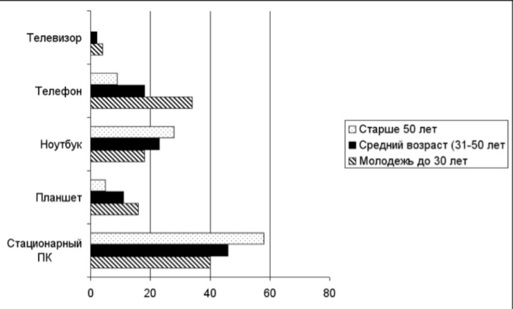
В стране Z был проведён социологический опрос среди различных возрастных групп на тему: «Каким устройством Вы пользуетесь чаще всего для выхода в интернет? » Его результаты отражены в диаграмме. Найдите в приведённом списке выводы, которые можно сделать на основе диаграммы.
В стране Z был проведён социологический опрос среди представителей разных возрастных групп на тему: «Как часто Вы пользуетесь интернетом»?» Результаты отражены в диаграмме. Найдите в приведённом списке выводы, которые можно сделать на основе диаграммы.
Среди жителей разных населённых пунктов страны Z был проведён социологический опрос на тему: «Каким социальным институтам Вы доверяете больше всего?». Его результаты отражены на диаграмме. Найдите в приведённом списке выводы, которые можно сделать на основе диаграммы, и запишите цифры, под которыми они указаны.
С ХХ века в России стала быстро расти доля городского населения. Что ещё из перечисленного позволяет говорить о переходе к индустриальному обществу? Запишите соответствующие цифры.
Период с XV по ХVI века н.э. в Европе получил название «Эпохи Возрождения». Что из перечисленного позволяет говорить о прогрессе европейского общества в данный период?





