Банк заданий ЕГЭ по информатике - страница 151
Вопросы
Фрагмент звёздного неба спроецирован на плоскости с декартовой системой координат.
Учёный решил провести кластеризацию полученных точек, являющихся изображениями звёзд, то есть разбить их множество на N непересекающихся ненустых подмножеств (кластеров), таких, что точки каждого подмножества лежат внутри прямоугольника со сторонами длиной H и W, причём эти прямоугольники между собой не пересекаются. Стороны прямоугольников не обязательно параллельны координатным осям. Гарантируется, что такое разбиение существует и единственно для заданных размеров прямоугольников.
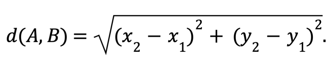
Будем называть центром кластера точку этого кластера, сумма расстояний от которой до всех остальных точек кластера минимальна. Для каждого кластера гарантируется единственность его центра. Расстояние между двумя точками на плоскости A(x1,y1) и B(x2,y2) вычисляется по формуле:

В файле А хранятся координаты точек двух кластеров, где H=6,5 и W=4,5 для каждого кластера. В каждой строке записана информация о расположении на карте одной звезды: сначала координата x, затем координата y. Известно, что количество точек не превышает 1000.
В файле Б хранятся координаты точек трёх кластеров, где H=4,5, W=4 для каждого кластера. Известно, что количество точек не превышает 10 000. Структура хранения информации в файле Б аналогична структуре в файле А.
Известно, что в файле А имеются координаты ровно двух, а в файле Б ровно трёх «лишних» точек, представляющих аномалии, которые возникли в результате помех при передаче данных. Эти точки не относятся ни к одному из кластеров, их учитывать не нужно.
Для файла А определите координаты центра каждого кластера, затем найдите два числа: Px — минимальную из абсцисс центров кластеров и Py — минимальную из ординат центров кластеров.
Для файла Б определите координаты центра каждого кластера, затем найдите два числа: Q1 — среднее арифметическое расстояний от центра кластера с минимальным количеством точек до точек этого кластера и Q2 — среднее арифметическое расстояний от центра кластера с максимальным количеством точек до точек этого кластера. Гарантируется, что во всех кластерах количество точек различно. Нулевое расстояние от центра кластера до самого себя не учитывается.
В ответе запишите четыре числа: в первой строке — сначала целую часть абсолютной величины произведения Px×10 000, затем целую часть абсолютной величины произведения Py×10 000; во второй строке — сначала целую часть произведения Q1×10 000, затем целую часть произведения Q2×10 000.
Ответ записывайте сплошной строкой с пробелами.
Например, если вывод программы:
40644752241 5085557
4475147361 5375177
То ответ будет такой: 40644752241 5085557 4475147361 5375177
Фрагмент звёздного неба спроецирован на плоскости с декартовой системой координат.
Учёный решил провести кластеризацию полученных точек, являющихся изображениями звёзд, то есть разбить их множество на N непересекающихся ненустых подмножеств (кластеров), таких, что точки каждого подмножества лежат внутри прямоугольника со сторонами длиной H и W, причём эти прямоугольники между собой не пересекаются. Стороны прямоугольников не обязательно параллельны координатным осям. Гарантируется, что такое разбиение существует и единственно для заданных размеров прямоугольников.
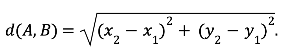
Будем называть центром кластера точку этого кластера, сумма расстояний от которой до всех остальных точек кластера минимальна. Для каждого кластера гарантируется единственность его центра. Расстояние между двумя точками на плоскости A(x1,y1) и B(x2,y2) вычисляется по формуле:

В файле А хранятся координаты точек двух кластеров, где H=6,5 и W=4,5 для каждого кластера. В каждой строке записана информация о расположении на карте одной звезды: сначала координата x, затем координата y. Известно, что количество точек не превышает 1000.
В файле Б хранятся координаты точек трёх кластеров, где H=6, W=5 для каждого кластера. Известно, что количество точек не превышает 10 000. Структура хранения информации в файле Б аналогична структуре в файле А.
Известно, что в файле А имеются координаты ровно двух, а в файле Б ровно трёх «лишних» точек, представляющих аномалии, которые возникли в результате помех при передаче данных. Эти точки не относятся ни к одному из кластеров, их учитывать не нужно.
Для файла А определите координаты центра каждого кластера, затем найдите два числа: Px — минимальную из абсцисс центров кластеров и Py — минимальную из ординат центров кластеров.
Для файла Б определите координаты центра каждого кластера, затем найдите два числа: Q1 — расстояние между центрами кластеров с минимальным и максимальным количеством точек и Q2 — максимальное расстояние от центра кластера до точки этого же кластера среди всех кластеров. Гарантируется, что во всех кластерах количество точек различно. Нулевое расстояние от центра кластера до самого себя не учитывается.
В ответе запишите четыре числа: в первой строке — сначала целую часть абсолютной величины произведения Px×10 000, затем целую часть абсолютной величины произведения Py×10 000; во второй строке — сначала целую часть произведения Q1×10 000, затем целую часть произведения Q2×10 000.
Ответ записывайте сплошной строкой с пробелами.
Например, если вывод программы:
40644752241 5085557
4475147361 5375177
То ответ будет такой: 40644752241 5085557 4475147361 5375177
Фрагмент звёздного неба спроецирован на плоскости с декартовой системой координат.
Учёный решил провести кластеризацию полученных точек, являющихся изображениями звёзд, то есть разбить их множество на N непересекающихся ненустых подмножеств (кластеров), таких, что точки каждого подмножества лежат внутри прямоугольника со сторонами длиной H и W, причём эти прямоугольники между собой не пересекаются. Стороны прямоугольников не обязательно параллельны координатным осям. Гарантируется, что такое разбиение существует и единственно для заданных размеров прямоугольников.
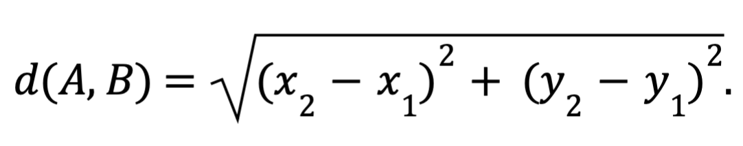
Будем называть центром кластера точку этого кластера, сумма расстояний от которой до всех остальных точек кластера минимальна. Для каждого кластера гарантируется единственность его центра. Расстояние между двумя точками на плоскости A(x1,y1) и B(x2,y2) вычисляется по формуле:

В файле А хранятся координаты точек двух кластеров, где H=6,5 и W=4,5 для каждого кластера. В каждой строке записана информация о расположении на карте одной звезды: сначала координата x, затем координата y. Известно, что количество точек не превышает 1000.
В файле Б хранятся координаты точек трёх кластеров, где H=5, W=4,5 для каждого кластера. Известно, что количество точек не превышает 10 000. Структура хранения информации в файле Б аналогична структуре в файле А.
Известно, что в файле А имеются координаты ровно двух, а в файле Б ровно трёх «лишних» точек, представляющих аномалии, которые возникли в результате помех при передаче данных. Эти точки не относятся ни к одному из кластеров, их учитывать не нужно.
Для файла А определите координаты центра каждого кластера, затем найдите два числа: Px — расстояние по оси абсцисс между центрами кластеров и Py — расстояние по оси ординат между центрами кластеров.
Для файла Б определите координаты центра каждого кластера, затем найдите два числа: Q1 — среднее арифметическое расстояний от центра кластера с минимальным количеством точек до точек этого кластера и Q2 — среднее арифметическое расстояний от центра кластера с максимальным количеством точек до точек этого кластера. Гарантируется, что во всех кластерах количество точек различно. Нулевое расстояние от центра кластера до самого себя не учитывается.
В ответе запишите четыре числа: в первой строке — сначала целую часть произведения Px×10 000, затем целую часть произведения Py×10 000; во второй строке — сначала целую часть произведения Q1×10 000, затем целую часть произведения Q2×10 000.
Ответ записывайте сплошной строкой с пробелами.
Например, если вывод программы:
40644752241 5085557
4475147361 5375177
То ответ будет такой: 40644752241 5085557 4475147361 5375177
Миша заполнял таблицу истинности функции (¬x \/ ¬y) /\ ¬(x≡z) /\ ¬w, но успел заполнить лишь фрагмент из трёх различных её строк, даже не указав, какому столбцу таблицы соответствует каждая из переменных w, x, y, z.

Определите, какому столбцу таблицы соответствует каждая из переменных w, x, y, z.
В ответе напишите буквы w, x, y, z в том порядке, в котором идут соответствующие им столбцы (сначала буква, соответствующая первому столбцу; затем буква, соответствующая второму столбцу, и т.д.). Буквы в ответе пишите подряд, никаких разделителей между буквами ставить не нужно.
Все 4-буквенные слова, в составе которых могут быть только буквы Л, Е, М, У, Р, записаны в алфавитном порядке и пронумерованы, начиная с 1.
Ниже приведено начало списка.
1. ЕЕЕЕ
2. ЕЕЕЛ
3. ЕЕЕМ
4. ЕЕЕР
5. ЕЕЕУ
6. ЕЕЛЕ
…
Под каким номером в списке идёт первое слово, которое начинается с буквы У?
В терминологии сетей TCP/IP маской сети называется двоичное число, определяющее, какая часть IP-адреса узла сети относится к адресу сети,
а какая – к адресу самого узла в этой сети. Обычно маска записывается
по тем же правилам, что и IP-адрес, – в виде четырёх байтов, причём каждый байт записывается в виде десятичного числа. При этом в маске сначала
(в старших разрядах) стоят единицы, а затем с некоторого разряда – нули. Адрес сети получается в результате применения поразрядной конъюнкции
к заданному IP-адресу узла и маске.
Например, если IP-адрес узла равен 231.32.255.131, а маска равна 255.255.240.0, то адрес сети равен 231.32.240.0.
Для узла с IP-адресом 111.81.176.27 адрес сети равен 111.81.160.0. Чему равен третий слева байт маски? Ответ запишите в виде десятичного числа.
По каналу связи передаются шифрованные сообщения, содержащие только десять букв: А, B, C, D, E, F, S, X, Y, Z; для передачи используется неравномерный двоичный код. Для кодирования букв используются кодовые слова.
Буква | Кодовое слово |
| Буква | Кодовое слово |
A |
|
| F | 0110 |
B | 0111 |
| S | 0011 |
C | 100 |
| X | 0101 |
D | 101 |
| Y | 0010 |
E | 0100 |
| Z | 000 |
Укажите кратчайшее кодовое слово для буквы А, при котором код удовлетворяет условию Фано. Если таких кодов несколько, укажите код с наименьшим числовым значением.
Примечание. Условие Фано означает, что никакое кодовое слово не является началом другого кодового слова. Это обеспечивает возможность однозначной расшифровки закодированных сообщений.
Откройте файл электронной таблицы, содержащей в каждой строке четыре натуральных числа. Определите количество строк таблицы, содержащих числа, для которых выполнены оба условия:
– наибольшее из четырёх чисел меньше суммы трёх других;
– четыре числа нельзя разбить на две пары чисел с равными суммами.
В ответе запишите только число.
Миша заполнял таблицу истинности функции (x \/ ¬y) /\ ¬(y≡z) /\ w, но успел заполнить лишь фрагмент из трёх различных её строк, даже не указав, какому столбцу таблицы соответствует каждая из переменных w, x, y, z.

Определите, какому столбцу таблицы соответствует каждая из переменных w, x, y, z.
В ответе напишите буквы w, x, y, z в том порядке, в котором идут соответствующие им столбцы (сначала буква, соответствующая первому столбцу; затем буква, соответствующая второму столбцу, и т.д.). Буквы
в ответе пишите подряд, никаких разделителей между буквами ставить
не нужно.
Все 3-буквенные слова, составленные из букв У, Ч, Е, Н, И, К, записаны в алфавитном порядке и пронумерованы, начиная с 1.
Ниже приведено начало списка.
1. ЕЕЕ
2. ЕЕИ
3. ЕЕК
4. ЕЕН
5. ЕЕУ
6. ЕЕЧ
7. ЕИЕ
…
Под каким номером в списке идёт первое слово, которое начинается с буквы Ч?
