Банк заданий ЕГЭ по информатике - страница 150
Вопросы
Фрагмент звёздного неба спроецирован на плоскость с декартовой системой координат. Учёный решил провести кластеризацию полученных точек, являющихся изображениями звёзд, то есть разбить их множество на N непересекающихся непустых подмножеств (кластеров), таких, что точки каждого подмножества лежат внутри прямоугольника со сторонами длиной H и W, причём эти прямоугольники между собой не пересекаются. Стороны прямоугольников не обязательно параллельны координатным осям. Гарантируется, что такое разбиение существует и единственно для заданных размеров прямоугольников.
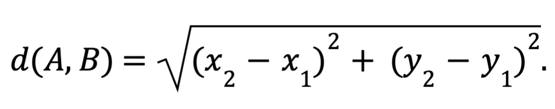
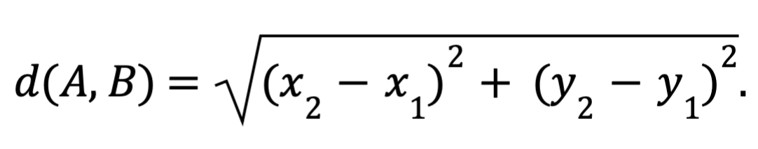
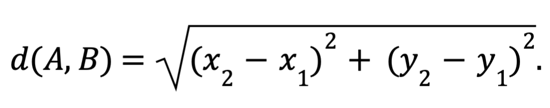
Будем называть центром кластера точку этого кластера, сумма расстояний от которой до всех остальных точек кластера минимальна. Для каждого кластера гарантируется единственность его центра. Расстояние между двумя точками на плоскости A(x1,y1) и B(x2,y2) вычисляется по формуле:

В файле А хранятся координаты точек двух кластеров, где H=6,5 и W=4,5 для каждого кластера. В каждой строке записана информация о расположении на карте одной звезды: сначала координата x, затем координата y. Известно, что количество точек не превышает 1000.
В файле Б хранятся координаты точек трёх кластеров, где H=6, W=5 для каждого кластера. Известно, что количество точек не превышает 10 000. Структура хранения информации в файле Б аналогична структуре в файле А.
Известно, что в файле А имеются координаты ровно двух, а в файле Б ровно трёх «лишних» точек, представляющих аномалии, которые возникли в результате помех при передаче данных. Эти точки не относятся ни к одному из кластеров, их учитывать не нужно.
Для файла А определите координаты центра каждого кластера, затем найдите два числа: Px — расстояние между центрами кластеров и Py — максимальное расстояние между центром каждого кластера и точкой этого же кластера.
Для файла Б определите координаты центра каждого кластера, затем найдите два числа: Q1 — минимальное расстояние между центрами кластеров и Q2 — максимальное расстояние между центрами кластеров.
В ответе запишите четыре числа: в первой строке — сначала целую часть абсолютной величины произведения Px×10 000, затем целую часть абсолютной величины произведения Py×10 000; во второй строке — сначала целую часть абсолютной величины произведения Q1×10 000, затем целую часть абсолютной величины произведения Q2×10 000.
Ответ записывайте сплошной строкой с пробелами.
Например, если вывод программы:
40644752241 5085557
4475147361 5375177
То ответ будет такой: 40644752241 5085557 4475147361 5375177
Фрагмент звёздного неба спроецирован на плоскость с декартовой системой координат. Учёный решил провести кластеризацию полученных точек, являющихся изображениями звёзд, то есть разбить их множество на N непересекающихся непустых подмножеств (кластеров), таких, что точки каждого подмножества лежат внутри прямоугольника со сторонами длиной H и W, причём эти прямоугольники между собой не пересекаются. Стороны прямоугольников не обязательно параллельны координатным осям. Гарантируется, что такое разбиение существует и единственно для заданных размеров прямоугольников.
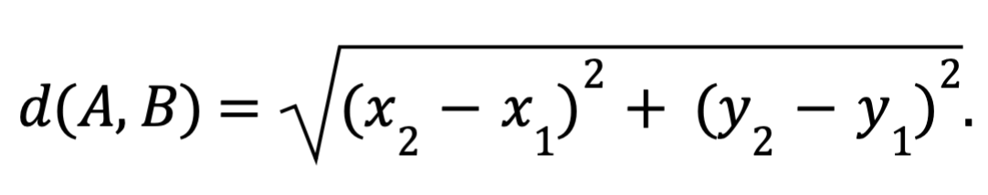
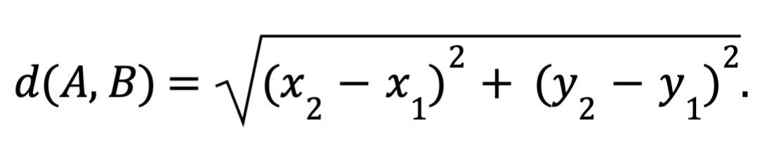
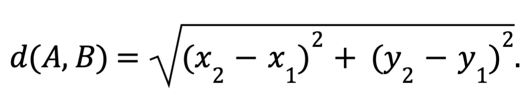
Будем называть центром кластера точку этого кластера, сумма расстояний от которой до всех остальных точек кластера минимальна. Для каждого кластера гарантируется единственность его центра. Расстояние между двумя точками на плоскости A(x1,y1) и B(x2,y2) вычисляется по формуле:

В файле А хранятся координаты точек двух кластеров, где H=6,5 и W=4,5 для каждого кластера. В каждой строке записана информация о расположении на карте одной звезды: сначала координата x, затем координата y. Известно, что количество точек не превышает 1000.
В файле Б хранятся координаты точек трёх кластеров, где H=4,4, W=4 для каждого кластера. Известно, что количество точек не превышает 10 000. Структура хранения информации в файле Б аналогична структуре в файле А.
Известно, что в файле А имеются координаты ровно двух, а в файле Б ровно трёх «лишних» точек, представляющих аномалии, которые возникли в результате помех при передаче данных. Эти точки не относятся ни к одному из кластеров, их учитывать не нужно.
Для файла А определите координаты центра каждого кластера, затем найдите два числа: Px — минимальное расстояние между центром одного кластера и точкой другого кластера и Py — максимальное расстояние между центром одного кластера и точкой другого кластера.
Для файла Б определите координаты центра каждого кластера, затем найдите два числа: Q1 — среднее арифметическое абсцисс центров кластеров и Q2 — среднее арифметическое ординат центров кластеров.
В ответе запишите четыре числа: в первой строке — сначала целую часть произведения Px×10 000, затем целую часть произведения Py×10 000; во второй строке — сначала целую часть произведения Q1×10 000, затем целую часть произведения Q2×10 000.
Ответ записывайте сплошной строкой с пробелами.
Например, если вывод программы:
40644752241 5085557
4475147361 5375177
То ответ будет такой: 40644752241 5085557 4475147361 5375177
Фрагмент звёздного неба спроецирован на плоскость с декартовой системой координат. Учёный решил провести кластеризацию полученных точек, являющихся изображениями звёзд, то есть разбить их множество на N непересекающихся непустых подмножеств (кластеров), таких, что точки каждого подмножества лежат внутри прямоугольника со сторонами длиной H и W, причём эти прямоугольники между собой не пересекаются. Стороны прямоугольников не обязательно параллельны координатным осям. Гарантируется, что такое разбиение существует и единственно для заданных размеров прямоугольников.
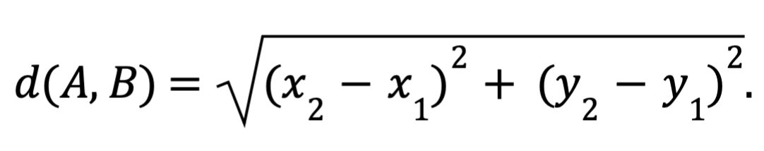
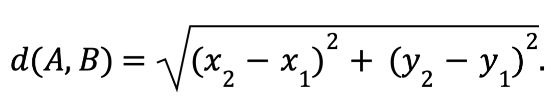
Будем называть центром кластера точку этого кластера, сумма расстояний от которой до всех остальных точек кластера минимальна. Для каждого кластера гарантируется единственность его центра. Расстояние между двумя точками на плоскости A(x1,y1) и B(x2,y2) вычисляется по формуле:

В файле А хранятся координаты точек двух кластеров, где H=6,5 и W=4,5 для каждого кластера. В каждой строке записана информация о расположении на карте одной звезды: сначала координата x, затем координата y. Известно, что количество точек не превышает 1000.
В файле Б хранятся координаты точек трёх кластеров, где H=6, W=5 для каждого кластера. Известно, что количество точек не превышает 10 000. Структура хранения информации в файле Б аналогична структуре в файле А.
Известно, что в файле А имеются координаты ровно двух, а в файле Б ровно трёх «лишних» точек, представляющих аномалии, которые возникли в результате помех при передаче данных. Эти точки не относятся ни к одному из кластеров, их учитывать не нужно.
Для файла А определите координаты центра каждого кластера, затем найдите два числа: P1 — расстояние между центрами кластеров и P2 — максимальное расстояние между центром каждого кластера и точкой этого же кластера.
Для файла Б определите координаты центра каждого кластера, затем найдите два числа: Qx — среднее арифметическое абсцисс центров кластеров и Qy — среднее арифметическое ординат центров кластеров.
В ответе запишите четыре числа: в первой строке — сначала целую часть произведения P1×10 000, затем целую часть произведения P2×10 000; во второй строке — сначала целую часть абсолютной величины произведения Qx×10 000, затем целую часть абсолютной величины произведения Qy×10 000
Ответ записывайте сплошной строкой с пробелами.
Например, если вывод программы:
40644752241 5085557
4475147361 5375177
То ответ будет такой: 40644752241 5085557 4475147361 5375177
Фрагмент звёздного неба спроецирован на плоскость с декартовой системой координат. Учёный решил провести кластеризацию полученных точек, являющихся изображениями звёзд, то есть разбить их множество на N непересекающихся непустых подмножеств (кластеров), таких, что точки каждого подмножества лежат внутри прямоугольника со сторонами длиной H и W, причём эти прямоугольники между собой не пересекаются. Стороны прямоугольников не обязательно параллельны координатным осям. Гарантируется, что такое разбиение существует и единственно для заданных размеров прямоугольников.
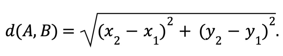
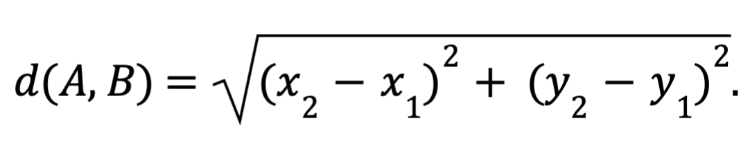
Будем называть центром кластера точку этого кластера, сумма расстояний от которой до всех остальных точек кластера минимальна. Для каждого кластера гарантируется единственность его центра. Расстояние между двумя точками на плоскости A(x1,y1) и B(x2,y2) вычисляется по формуле:

В файле А хранятся координаты точек двух кластеров, где H=6,5 и W=4,5 для каждого кластера. В каждой строке записана информация о расположении на карте одной звезды: сначала координата x, затем координата y. Известно, что количество точек не превышает 1000.
В файле Б хранятся координаты точек трёх кластеров, где H=6, W=5 для каждого кластера. Известно, что количество точек не превышает 10 000. Структура хранения информации в файле Б аналогична структуре в файле А.
Известно, что в файле А имеются координаты ровно двух, а в файле Б ровно трёх «лишних» точек, представляющих аномалии, которые возникли в результате помех при передаче данных. Эти точки не относятся ни к одному из кластеров, их учитывать не нужно.
Для файла А определите координаты центра каждого кластера, затем найдите два числа: P1 — расстояние между центрами кластеров и P2 — максимальное расстояние между центром каждого кластера и точкой этого же кластера.
Для файла Б определите координаты центра каждого кластера, затем найдите два числа: Qx — минимальное количество точек в кластере и Qy — максимальное количество точек в кластере.
В ответе запишите четыре числа: в первой строке — сначала целую часть произведения P1×10 000, затем целую часть произведения P2×10 000; во второй строке — сначала целую часть абсолютной величины произведения Qx×10 000, затем целую часть абсолютной величины произведения Qy×10 000.
Ответ записывайте сплошной строкой с пробелами.
Например, если вывод программы:
40644752241 5085557
4475147361 5375177
То ответ будет такой: 40644752241 5085557 4475147361 5375177
Фрагмент звёздного неба спроецирован на плоскость с декартовой системой координат. Учёный решил провести кластеризацию полученных точек, являющихся изображениями звёзд, то есть разбить их множество на N непересекающихся ненустых подмножеств (кластеров), таких, что точки каждого подмножества лежат внутри прямоугольника со сторонами длиной H и W, причём эти прямоугольники между собой не пересекаются. Стороны прямоугольников не обязательно параллельны координатным осям. Гарантируется, что такое разбиение существует и единственно для заданных размеров прямоугольников.
Будем называть центром кластера точку этого кластера, сумма расстояний от которой до всех остальных точек кластера минимальна. Для каждого кластера гарантируется единственность его центра. Расстояние между двумя точками на плоскости A(x1,y1) и B(x2,y2) вычисляется по формуле:

В файле A хранятся координаты точек двух кластеров, где H=6,5 и W=4,5 для каждого кластера. В каждой строке записана информация о расположении на карте одной звезды: сначала координата x, затем координата y. Известно, что количество точек не превышает 1000.
В файле Б хранятся координаты точек трёх кластеров, где H=0,3, W=0,4 для каждого кластера. Известно, что количество точек не превышает 10 000. Структура хранения информации в файле Б аналогична структуре в файле A.
Известно, что в файле A имеются координаты ровно двух, а в файле Б ровно трёх «лишних» точек, представляющих аномалии, которые возникли в результате помех при передаче данных. Эти точки не относятся ни к одному из кластеров, их учитывать не нужно.
Для файла A определите координаты центра каждого кластера, затем найдите два числа: P1 — минимальное расстояние между центром одного кластера и точкой другого кластера и P2 — максимальное расстояние между центром кластера и точкой другого кластера.
Для файла Б определите координаты центра каждого кластера, затем найдите два числа: Q1 — минимальное расстояние между центрами кластеров и Q2 — максимальное расстояние между центрами кластеров.
В ответе запишите четыре числа: в первой строке — сначала целую часть произведения P1×10 000, затем целую часть произведения P2×10 000; во второй строке — сначала целую часть произведения Q1×10 000, затем целую часть произведения Q2×10 000.
Ответ записывайте сплошной строкой с пробелами.
Например, если вывод программы:
40644752241 5085557
4475147361 5375177
То ответ будет такой: 40644752241 5085557 4475147361 5375177
Фрагмент звёздного неба спроецирован на плоскости с декартовой системой координат. Учёный решил провести кластеризацию полученных точек, являющихся изображениями звёзд, то есть разбить их множество на N непересекающихся ненустых подмножеств (кластеров), таких, что точки каждого подмножества лежат внутри прямоугольника со сторонами длиной H и W, причём эти прямоугольники между собой не пересекаются. Стороны прямоугольников не обязательно параллельны координатным осям. Гарантируется, что такое разбиение существует и единственно для заданных размеров прямоугольников.
Будем называть центром кластера точку этого кластера, сумма расстояний от которой до всех остальных точек кластера минимальна. Для каждого кластера гарантируется единственность его центра. Расстояние между двумя точками на плоскости A(x1,y1) и B(x2,y2) вычисляется по формуле:

В файле А хранятся координаты точек двух кластеров, где H=6,5 и W=4,5 для каждого кластера. В каждой строке записана информация о расположении на карте одной звезды: сначала координата x, затем координата y. Известно, что количество точек не превышает 1000.
В файле Б хранятся координаты точек трёх кластеров, где H=4,5, W=4 для каждого кластера. Известно, что количество точек не превышает 10 000. Структура хранения информации в файле Б аналогична структуре в файле А.
Известно, что в файле А имеются координаты ровно двух, а в файле Б ровно трёх «лишних» точек, представляющих аномалии, которые возникли в результате помех при передаче данных. Эти точки не относятся ни к одному из кластеров, их учитывать не нужно.
Для файла А определите координаты центра каждого кластера, затем найдите два числа: Px — максимальную абсциссу центра кластера и Py — максимальную ординату центра кластера.
Для файла Б определите координаты центра каждого кластера, затем найдите два числа: Q1 — расстояние между центрами кластеров с минимальным и максимальным количеством точек и Q2 — максимальное расстояние от центра кластера до точки этого же кластера среди всех кластеров. Гарантируется, что во всех кластерах количество точек различно.
В ответе запишите четыре числа: в первой строке — сначала целую часть абсолютной величины произведения Px×10 000, затем целую часть абсолютной величины произведения Py×10 000; во второй строке — сначала целую часть произведения Q1×10 000, затем целую часть произведения Q2×10 000.
Ответ записывайте сплошной строкой с пробелами.
Например, если вывод программы:
40644752241 5085557
4475147361 5375177
То ответ будет такой: 40644752241 5085557 4475147361 5375177
Фрагмент звёздного неба спроецирован на плоскость с декартовой системой координат. Учёный решил провести кластеризацию полученных точек, являющихся изображениями звёзд, то есть разбить их множество на N непересекающихся ненустых подмножеств (кластеров), таких, что точки каждого подмножества лежат внутри прямоугольника со сторонами длиной H и W, причём эти прямоугольники между собой не пересекаются. Стороны прямоугольников не обязательно параллельны координатным осям. Гарантируется, что такое разбиение существует и единственно для заданных размеров прямоугольников.
Будем называть центром кластера точку этого кластера, сумма расстояний от которой до всех остальных точек кластера минимальна. Для каждого кластера гарантируется единственность его центра. Расстояние между двумя точками на плоскости A(x1,y1) и B(x2,y2) вычисляется по формуле:

В файле А хранятся координаты точек двух кластеров, где H=6,5 и W=4,5 для каждого кластера. В каждой строке записана информация о расположении на карте одной звезды: сначала координата x, затем координата y. Известно, что количество точек не превышает 1000.
В файле Б хранятся координаты точек трёх кластеров, где H=4,5, W=4 для каждого кластера. Известно, что количество точек не превышает 10 000. Структура хранения информации в файле Б аналогична структуре в файле А.
Известно, что в файле А имеются координаты ровно двух, а в файле Б ровно трёх «лишних» точек, представляющих аномалии, которые возникли в результате помех при передаче данных. Эти точки не относятся ни к одному из кластеров, их учитывать не нужно.
Для файла А определите координаты центра каждого кластера, затем найдите два числа: Px — расстояние по оси абсцисс между центрами кластеров и Py — расстояние по оси ординат между центрами кластеров.
Для файла Б определите координаты центра каждого кластера, затем найдите два числа: Qx — среднее арифметическое абсцисс центров кластеров и Qy — среднее арифметическое ординат центров кластеров.
В ответе запишите четыре числа: в первой строке — сначала целую часть произведения Px×10 000, затем целую часть произведения Py×10 000; во второй строке — сначала целую часть абсолютной величины произведения Qx×10 000, затем целую часть абсолютной величины произведения Qy×10 000.
Ответ записывайте сплошной строкой с пробелами.
Например, если вывод программы:
40644752241 5085557
4475147361 5375177
То ответ будет такой: 40644752241 5085557 4475147361 5375177
Фрагмент звёздного неба спроецирован на плоскость с декартовой системой координат. Учёный решил провести кластеризацию полученных точек, являющихся изображениями звёзд, то есть разбить их множество на N непересекающихся ненустых подмножеств (кластеров), таких, что точки каждого подмножества лежат внутри прямоугольника со сторонами длиной H и W, причём эти прямоугольники между собой не пересекаются. Стороны прямоугольников не обязательно параллельны координатным осям. Гарантируется, что такое разбиение существует и единственно для заданных размеров прямоугольников.
Будем называть центром кластера точку этого кластера, сумма расстояний от которой до всех остальных точек кластера минимальна. Для каждого кластера гарантируется единственность его центра. Расстояние между двумя точками на плоскости A(x1,y1) и B(x2,y2) вычисляется по формуле:

В файле А хранятся координаты точек двух кластеров, где H=6,5 и W=4,5 для каждого кластера. В каждой строке записана информация о расположении на карте одной звезды: сначала координата x, затем координата y. Известно, что количество точек не превышает 1000.
В файле Б хранятся координаты точек трёх кластеров, где H=5, W=4 для каждого кластера. Известно, что количество точек не превышает 10 000. Структура хранения информации в файле Б аналогична структуре в файле А.
Известно, что в файле А имеются координаты ровно двух, а в файле Б ровно трёх «лишних» точек, представляющих аномалии, которые возникли в результате помех при передаче данных. Эти точки не относятся ни к одному из кластеров, их учитывать не нужно.
Для файла А определите координаты центра каждого кластера, затем найдите два числа: Px — минимальную из абсцисс центров кластеров и Py — минимальную из ординат центров кластеров.
Для файла Б определите координаты центра каждого кластера, затем найдите два числа: Q1 — минимальное расстояние между центрами кластеров и Q2 — максимальное расстояние между центрами кластеров.
В ответе запишите четыре числа: в первой строке — сначала целую часть абсолютной величины произведения Px×10 000, затем целую часть абсолютной величины произведения Py×10 000; во второй строке — сначала целую часть произведения Q1×10 000, затем целую часть произведения Q2×10 000.
Ответ записывайте сплошной строкой с пробелами.
Например, если вывод программы:
40644752241 5085557
4475147361 5375177
То ответ будет такой: 40644752241 5085557 4475147361 5375177
Фрагмент звёздного неба спроецирован на плоскость с декартовой системой координат. Учёный решил провести кластеризацию полученных точек, являющихся изображениями звёзд, то есть разбить их множество на N непересекающихся ненустых подмножеств (кластеров), таких, что точки каждого подмножества лежат внутри прямоугольника со сторонами длиной H и W, причём эти прямоугольники между собой не пересекаются. Стороны прямоугольников не обязательно параллельны координатным осям. Гарантируется, что такое разбиение существует и единственно для заданных размеров прямоугольников.
Будем называть центром кластера точку этого кластера, сумма расстояний от которой до всех остальных точек кластера минимальна. Для каждого кластера гарантируется единственность его центра. Расстояние между двумя точками на плоскости A(x1,y1) и B(x2,y2) вычисляется по формуле:

В файле А хранятся координаты точек двух кластеров, где H=6,5 и W=4,5 для каждого кластера. В каждой строке записана информация о расположении на карте одной звезды: сначала координата x, затем координата y. Известно, что количество точек не превышает 1000.
В файле Б хранятся координаты точек трёх кластеров, где H=5, W=4 для каждого кластера. Известно, что количество точек не превышает 10 000. Структура хранения информации в файле Б аналогична структуре в файле А.
Известно, что в файле А имеются координаты ровно двух, а в файле Б ровно трёх «лишних» точек, представляющих аномалии, которые возникли в результате помех при передаче данных. Эти точки не относятся ни к одному из кластеров, их учитывать не нужно.
Для файла А определите координаты центра каждого кластера, затем найдите два числа: Px — максимальную абсциссу центра кластера и Py — максимальную ординату центра кластера.
Для файла Б определите координаты центра каждого кластера, затем найдите два числа: Q1 — расстояние между центрами кластеров с минимальным и максимальным количеством точек и Q2 — максимальное расстояние от центра кластера до точки этого же кластера среди всех кластеров. Гарантируется, что во всех кластерах количество точек различно.
В ответе запишите четыре числа: в первой строке — сначала целую часть абсолютной величины произведения Px×10 000, затем целую часть абсолютной величины произведения Py×10 000; во второй строке — сначала целую часть произведения Q1×10 000, затем целую часть произведения Q2×10 000.
Ответ записывайте сплошной строкой с пробелами.
Например, если вывод программы:
40644752241 5085557
4475147361 5375177
То ответ будет такой: 40644752241 5085557 4475147361 5375177
Фрагмент звёздного неба спроецирован на плоскость с декартовой системой координат. Учёный решил провести кластеризацию полученных точек, являющихся изображениями звёзд, то есть разбить их множество на N непересекающихся ненустых подмножеств (кластеров), таких, что точки каждого подмножества лежат внутри прямоугольника со сторонами длиной H и W, причём эти прямоугольники между собой не пересекаются. Стороны прямоугольников не обязательно параллельны координатным осям. Гарантируется, что такое разбиение существует и единственно для заданных размеров прямоугольников.
Будем называть центром кластера точку этого кластера, сумма расстояний от которой до всех остальных точек кластера минимальна. Для каждого кластера гарантируется единственность его центра. Расстояние между двумя точками на плоскости A(x1,y1) и B(x2,y2) вычисляется по формуле:

В файле А хранятся координаты точек двух кластеров, где H=6,5 и W=4,5 для каждого кластера. В каждой строке записана информация о расположении на карте одной звезды: сначала координата x, затем координата y. Известно, что количество точек не превышает 1000.
В файле Б хранятся координаты точек трёх кластеров, где H=4,5, W=4 для каждого кластера. Известно, что количество точек не превышает 10 000. Структура хранения информации в файле Б аналогична структуре в файле А.
Известно, что в файле А имеются координаты ровно двух, а в файле Б ровно трёх «лишних» точек, представляющих аномалии, которые возникли в результате помех при передаче данных. Эти точки не относятся ни к одному из кластеров, их учитывать не нужно.
Для файла А определите координаты центра каждого кластера, затем найдите два числа: Px — расстояние по оси абсцисс между центрами кластеров и Py — расстояние по оси ординат между центрами кластеров.
Для файла Б определите точки каждого кластера, затем найдите два числа: Q1 — минимальное количество точек в кластере и Q2 — максимальное количество точек в кластере. Гарантируется, что во всех кластерах количество точек различно.
В ответе запишите четыре числа: в первой строке — сначала целую часть произведения Px×10 000, затем целую часть произведения Py×10 000; во второй строке — сначала число Q1, затем число Q2.
