Банк заданий ЕГЭ по базовой математике - страница 502
Базовая математика
Вопросы
КИМ №11
1 часть
Раздел: 16. Вычисления и преобразования
Тема: 16. Преобразования числовых иррациональных выражений
Источник: Открытый банк заданий ФИПИ
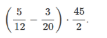
Найдите значение выражения 
КИМ №16
1 часть
Раздел: 16. Вычисления и преобразования
Тема: 16. Преобразования числовых логарифмических выражений
Источник: Открытый банк заданий ФИПИ
Найдите значение выражения 
КИМ №16
1 часть
Раздел: 16. Вычисления и преобразования
Тема: 16. Действия со степенями
Источник: Открытый банк заданий ФИПИ
Найдите значение выражения 
КИМ №16
1 часть
Раздел: 16. Вычисления и преобразования
Тема: 16. Действия со степенями
Источник: Открытый банк заданий ФИПИ
Найдите значение выражения 68⋅10−2,7⋅10^2
КИМ №16
1 часть
Раздел: 16. Вычисления и преобразования
Тема: 16. Преобразования числовых иррациональных выражений
Источник: Открытый банк заданий ФИПИ
Найдите значение выражения 
КИМ №16
1 часть
Раздел: 16. Вычисления и преобразования
Тема: 16. Преобразования числовых иррациональных выражений
Источник: Открытый банк заданий ФИПИ
Найдите значение выражения 8,5:1,7⋅2,4
КИМ №16
1 часть
Раздел: 16. Вычисления и преобразования
Тема: 16. Преобразования числовых иррациональных выражений
Источник: Открытый банк заданий ФИПИ
Найдите значение выражения 
КИМ №16
1 часть
Раздел: 16. Вычисления и преобразования
Тема: 16. Преобразования числовых иррациональных выражений
Источник: Открытый банк заданий ФИПИ
Найдите значение выражения 
КИМ №16
1 часть
Раздел: 16. Вычисления и преобразования
Тема: 16. Преобразования числовых иррациональных выражений
Источник: Открытый банк заданий ФИПИ
Найдите значение выражения 
КИМ №16
1 часть
Раздел: 16. Вычисления и преобразования
Тема: 16. Преобразования числовых иррациональных выражений
Источник: Открытый банк заданий ФИПИ
Найдите значение выражения 
