Банк заданий ЕГЭ по базовой математике - страница 438
Базовая математика
Вопросы
КИМ №16
1 часть
Раздел: 16. Вычисления и преобразования
Тема: 16. Преобразования числовых иррациональных выражений
Источник: Открытый банк заданий ФИПИ
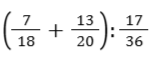
Найдите значение выражения 
КИМ №16
1 часть
Раздел: 16. Вычисления и преобразования
Тема: 16. Действия со степенями
Источник: Открытый банк заданий ФИПИ
Найдите значение выражения 
КИМ №16
1 часть
Раздел: 16. Вычисления и преобразования
Тема: 16. Вычисление значений тригонометрических выражений
Источник: Открытый банк заданий ФИПИ
Найдите cosα, если 
КИМ №16
1 часть
Раздел: 16. Вычисления и преобразования
Тема: 16. Преобразования числовых иррациональных выражений
Источник: Открытый банк заданий ФИПИ
Найдите значение выражения (√23+3)(√23-3)
КИМ №16
1 часть
Раздел: 16. Вычисления и преобразования
Тема: 16. Вычисление значений тригонометрических выражений
Источник: Открытый банк заданий ФИПИ
Найдите sinα, если cosα=√91/10 и 0°<α<90°.
КИМ №16
1 часть
Раздел: 16. Вычисления и преобразования
Тема: 16. Преобразования числовых иррациональных выражений
Источник: Открытый банк заданий ФИПИ
Найдите значение выражения 
КИМ №16
1 часть
Раздел: 16. Вычисления и преобразования
Тема: 16. Преобразования числовых иррациональных выражений
Источник: Открытый банк заданий ФИПИ
Найдите значение выражения 
КИМ №16
1 часть
Раздел: 16. Вычисления и преобразования
Тема: 16. Преобразования числовых логарифмических выражений
Источник: Открытый банк заданий ФИПИ
Найдите значение выражения 
КИМ №16
1 часть
Раздел: 16. Вычисления и преобразования
Тема: 16. Вычисление значений тригонометрических выражений
Источник: Открытый банк заданий ФИПИ
Найдите sinα, если cosα=−√21/5 и 90°<α<180°
КИМ №16
1 часть
Раздел: 16. Вычисления и преобразования
Тема: 16. Преобразования числовых иррациональных выражений
Источник: Открытый банк заданий ФИПИ
Найдите значение выражения (6√15+5)(6√15−5).
