Банк заданий ЕГЭ по базовой математике - страница 436
Базовая математика
Вопросы
КИМ №16
1 часть
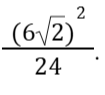
Раздел: 16. Вычисления и преобразования
Тема: 16. Преобразования числовых иррациональных выражений
Источник: Открытый банк заданий ФИПИ
Найдите значение выражения 
КИМ №16
1 часть
Раздел: 16. Вычисления и преобразования
Тема: 16. Преобразования числовых иррациональных выражений
Источник: Открытый банк заданий ФИПИ
Найдите значение выражения 
КИМ №16
1 часть
Раздел: 16. Вычисления и преобразования
Тема: 16. Преобразования числовых иррациональных выражений
Источник: Открытый банк заданий ФИПИ
Найдите значение выражения 
КИМ №16
1 часть
Раздел: 16. Вычисления и преобразования
Тема: 16. Преобразования числовых иррациональных выражений
Источник: Открытый банк заданий ФИПИ
Найдите значение выражения 
КИМ №16
1 часть
Раздел: 16. Вычисления и преобразования
Тема: 16. Преобразования числовых логарифмических выражений
Источник: Открытый банк заданий ФИПИ
Найдите значение выражения 
КИМ №16
1 часть
Раздел: 16. Вычисления и преобразования
Тема: 16. Преобразования числовых логарифмических выражений
Источник: Открытый банк заданий ФИПИ
Найдите значение выражения 
КИМ №16
1 часть
Раздел: 16. Вычисления и преобразования
Тема: 16. Преобразования числовых логарифмических выражений
Источник: Открытый банк заданий ФИПИ
Найдите значение выражения 
КИМ №16
1 часть
Раздел: 16. Вычисления и преобразования
Тема: 16. Преобразования числовых логарифмических выражений
Источник: Открытый банк заданий ФИПИ
Найдите значение выражения 
КИМ №16
1 часть
Раздел: 16. Вычисления и преобразования
Тема: 16. Преобразования числовых логарифмических выражений
Источник: Открытый банк заданий ФИПИ
Найдите значение выражения 
КИМ №16
1 часть
Раздел: 16. Вычисления и преобразования
Тема: 16. Преобразования числовых логарифмических выражений
Источник: Открытый банк заданий ФИПИ
Найдите значение выражения 
