Банк заданий ЕГЭ по базовой математике - страница 336
Вопросы
Зная длину своего шага, человек может приближённо подсчитать пройденное им расстояние s по формуле s=nl, где n — число шагов, l — длина шага. Какое расстояние прошёл человек, если l=50 см, n=1700? Ответ дайте в метрах.
Если p1, p2 и p3 — различные простые числа, то сумма всех делителей числа p1⋅p2⋅p3 равна (p1+1)(p2+1)(p3+1). Найдите сумму всех делителей числа 182=2⋅7⋅13.
Вода в сосуде цилиндрической формы находится на уровне h= 40 см. На каком уровне окажется вода, если её перелить в другой цилиндрический сосуд, у которого радиус основания вдвое больше,чем у данного? Ответ дайте в сантиметрах.

Даны две коробки, имеющие форму правильной четырёхугольной призмы, стоящей на основании. Первая коробка в полтора раза выше второй, а вторая втрое шире первой. Во сколько раз объём первой коробки меньше объёма второй?

Деталь имеет форму изображённого на рисунке многогранника (все двугранные углы прямые). Цифры на рисунке обозначают длины рёбер в сантиметрах. Найдите площадь поверхности этой детали. Ответ дайте в квадратных сантиметрах.

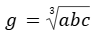
Среднее геометрическое трёх чисел a, b и c вычисляется по формуле
. Вычислите среднее геометрическое чисел 2, 12, 72.
Площадь четырёхугольника можно вычислить по формуле S=1/2d1*d2*sin α, где d1 и d2 — длины диагоналей четырёхугольника, α — угол между диагоналями. Пользуясь этой формулой, найдите длину диагонали d2,если d1=13, sin α=3/13, a S=25,5.
Длина биссектрисы lc, проведённой к стороне c треугольника со сторонами a, b и c, вычисляется по формуле
. Найдите биссектрису lc, если a=3, b=12 и c=
Плоскость, проходящая через точки A , B и C (см. рисунок), разбивает куб на два многогранника. Сколько вершин у получившегося многогранника с большим числом граней?

Работа постоянного тока (в джоулях) вычисляется по формуле A=U2t/R,где U — напряжение (в вольтах), R — сопротивление (в омах), t — время (в секундах). Пользуясь этой формулой, найдите A (в джоулях), если t=8 c, U=6 В и R=2 Ом.
