Банк заданий ЕГЭ по базовой математике - страница 335
Вопросы
В летнем лагере 192 ребёнка и 35 воспитателей. В одном автобусе можно перевозить не больше 28 пассажиров. Какое наименьшее количество таких автобусов понадобится, чтобы за один раз перевезти всех из лагеря в город?
Стоимость полугодовой подписки на журнал составляет 600 рублей, а стоимость одного номера журнала в киоске 28 рублей. За полгода Аня купила 25 номеров журнала. На сколько рублей меньше она бы потратила, если бы подписалась на журнал?
Деталь имеет форму изображённого на рисунке многогранника (все двугранные углы прямые). Числа на рисунке обозначают длины рёбер в сантиметрах. Найдите объём этой детали. Ответ дайте в кубических сантиметрах.

Длина биссектрисы 𝑙с, проведённой к стороне 𝑐 треугольника со сторонами 𝑎, 𝑏 и 𝑐, вычисляется по формуле
. Найдите биссектрису 𝑙с, если 𝑎 = 9, 𝑏 = 18 и 𝑐 = 21.
Среднее гармоническое трёх чисел 𝑎, 𝑏 и 𝑐 вычисляется по формуле
. Найдите среднее гармоническое чисел 1/4, 1/7 и 1.
Зная длину своего шага, человек может приближённо подсчитать пройденное им расстояние s по формуле s=nl, где n — число шагов, l — длина шага. Какое расстояние прошёл человек, если l=50 см, n=1300? Ответ дайте в метрах.
В бак, имеющий форму правильной четырёхугольной призмы, налито 12 л воды. После полного погружения в воду детали уровень воды в баке увеличился в 1,5 раза. Найдите объём детали. Ответ дайте в кубических сантиметрах, зная, что в одном литре 1000 кубических сантиметров.

Площадь четырёхугольника можно вычислить по формуле S=1/2d1d2sina, где d1 и d2 — длины диагоналей четырёхугольника, α — угол между диагоналями. Пользуясь этой формулой, найдите длину диагонали d1, если d2=18, sin α=1/3, a S=27.
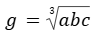
Среднее геометрическое трёх чисел a, b и c вычисляется по формуле
. Вычислите среднее геометрическое чисел 12, 18, 27.
В сосуде, имеющем форму конуса, уровень жидкости достигает 1/2 высоты. Объём жидкости равен 30 мл. Сколько миллилитров жидкости нужно долить, чтобы наполнить сосуд доверху?

