Банк заданий ЕГЭ по базовой математике - страница 324
Базовая математика
Вопросы
КИМ №14
1 часть
Раздел: 14. Вычисления
Тема: 14. Действия с обыкновенными дробями
Источник: Открытый банк заданий ФИПИ
Найдите значение выражения 
КИМ №14
1 часть
Раздел: 14. Вычисления
Тема: 14. Действия с обыкновенными дробями
Источник: Открытый банк заданий ФИПИ
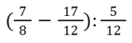
Найдите значение выражения 
КИМ №14
1 часть
Раздел: 14. Вычисления
Тема: 14. Действия с обыкновенными дробями
Источник: Открытый банк заданий ФИПИ
Найдите значение выражения 
КИМ №14
1 часть
Раздел: 14. Вычисления
Тема: 14. Разные задачи
Источник: Открытый банк заданий ФИПИ
Найдите значение выражения 
КИМ №16
1 часть
Раздел: 16. Вычисления и преобразования
Тема: 16. Действия со степенями
Источник: Открытый банк заданий ФИПИ
Найдите значение выражения (6⋅10-6)⋅(1,1⋅104).
КИМ №14
1 часть
Раздел: 14. Вычисления
Тема: 14. Действия с обыкновенными дробями
Источник: Открытый банк заданий ФИПИ
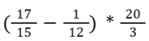
Найдите значение выражения 
КИМ №16
1 часть
Раздел: 16. Вычисления и преобразования
Тема: 16. Действия со степенями
Источник: Открытый банк заданий ФИПИ
Найдите значение выражения 
КИМ №14
1 часть
Раздел: 14. Вычисления
Тема: 14. Действия с десятичными дробями
Источник: Открытый банк заданий ФИПИ
Найдите значение выражения 
КИМ №4
1 часть
Раздел: 4. Преобразования выражений
Тема: 4. Формулы с тремя переменными
Источник: Открытый банк заданий ФИПИ
Ускорение тела (в м / с2) при равномерном движении по окружности можно вычислить по формуле a = ω2R, где ω — угловая скорость вращения (в с−1), а R — радиус окружности (в метрах). Пользуясь этой формулой, найдите a (в м/с2), если R = 5 м и ω = 6 с−1.
КИМ №4
1 часть
Раздел: 4. Преобразования выражений
Тема: 4. Формулы с большим числом переменных
Источник: Открытый банк заданий ФИПИ
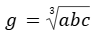
Среднее геометрическое трёх чисел 𝑎, 𝑏 и 𝑐 вычисляется по формуле
. Вычислите среднее геометрическое чисел 2, 4, 27.
