Задание 9288 ЕГЭ по профильной математике
КИМ №9
1 часть
Раздел: 9. Задачи прикладного характера
Тема: 9. Рациональные
Источник: Открытый банк заданий ФИПИ
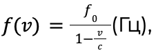
Перед отправкой тепловоз издал гудок с частотой f0 = 192 Гц. Чуть позже гудок издал подъезжающий к платформе тепловоз. Из-за эффекта Доплера частота второго гудка f (в Гц) больше первого: она зависит от скорости тепловоза v (в м/с) по закону
где c — скорость звука (в м/с). Человек, стоящий на платформе, различает сигналы по тону, если они отличаются не менее чем на 8 Гц. Определите, с какой минимальной скоростью приближался к платформе тепловоз, если человек смог различить сигналы, а c = 300 м/с. Ответ дайте в м/с.