Задание 7304 ЕГЭ по профильной математике
КИМ №6
1 часть
Раздел: 6. Уравнения
Тема: 6. Тригонометрические уравнения
Источник: Иван Валериевич Ященко
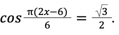
Решите уравнение
В ответ запишите наибольший отрицательный корень .
Решите уравнение
В ответ запишите наибольший отрицательный корень .