Задание 7286 ЕГЭ по профильной математике
КИМ №12
1 часть
Раздел: 12. Наибольшее и наименьшее значение функций
Тема: 12. Степенные
Источник: Иван Валериевич Ященко
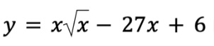
Найдите наименьшее значение функции
на отрезке [1; 422].
Найдите наименьшее значение функции
на отрезке [1; 422].