Магазин курсов
Банк заданий
Обучение
Домашняя работа
Уроки
Календарь
База знаний
Техподдержка
Мои достижения
Регистрация
Вход
Банк заданий
ЕГЭ по профильной математике
Задание 7276
Задание 7276 ЕГЭ по профильной математике
1 вопрос
КИМ №2
1 часть
№7276
КИМ №2
1 часть
Раздел: 2. Векторы
Тема: 2. Длина вектора
Источник: Иван Валериевич Ященко
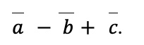
Даны векторы
. Найдите длину вектора
.