Магазин курсов
Банк заданий
Обучение
Домашняя работа
Уроки
Календарь
База знаний
Техподдержка
Мои достижения
Регистрация
Вход
Банк заданий
ЕГЭ по профильной математике
Задание 6969
Задание 6969 ЕГЭ по профильной математике
1 вопрос
КИМ №12
1 часть
№6969
КИМ №12
1 часть
Раздел: 12. Наибольшее и наименьшее значение функций
Тема: 12. Частное
Источник: Иван Валериевич Ященко
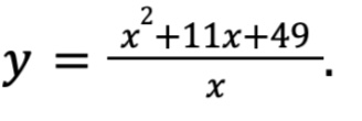
Найдите точку максимума функции