Задание 6963 ЕГЭ по профильной математике
КИМ №6
1 часть
Раздел: 6. Уравнения
Тема: 6. Иррациональные уравнения
Источник: Иван Валериевич Ященко
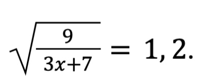
Найдите корень уравнения
. Если уравнение имеет больше одного корня в ответ запишите больший из корней.
Найдите корень уравнения
. Если уравнение имеет больше одного корня в ответ запишите больший из корней.