Задание 6957 ЕГЭ по профильной математике
КИМ №12
1 часть
Раздел: 12. Наибольшее и наименьшее значение функций
Тема: 12. Частное
Источник: Иван Валериевич Ященко
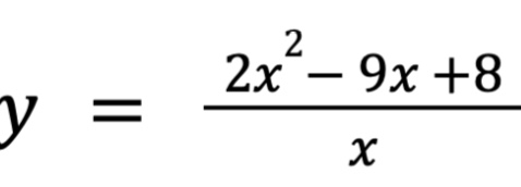
Найдите наименьшее значение функции
на отрезке [0,5; 10].
Найдите наименьшее значение функции
на отрезке [0,5; 10].