Задание 4742 ЕГЭ по профильной математике
КИМ №6
1 часть
Раздел: 6. Уравнения
Тема: 6. Рациональные уравнения
Источник: Иван Валериевич Ященко
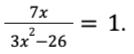
Решите уравнение
Если уравнение имеет более одного корня, в ответе запишите меньший из корней.
Решите уравнение
Если уравнение имеет более одного корня, в ответе запишите меньший из корней.