Задание 4558 ЕГЭ по профильной математике
КИМ №9
1 часть
Раздел: 9. Задачи прикладного характера
Тема: 9. Рациональные
Источник: Иван Валериевич Ященко
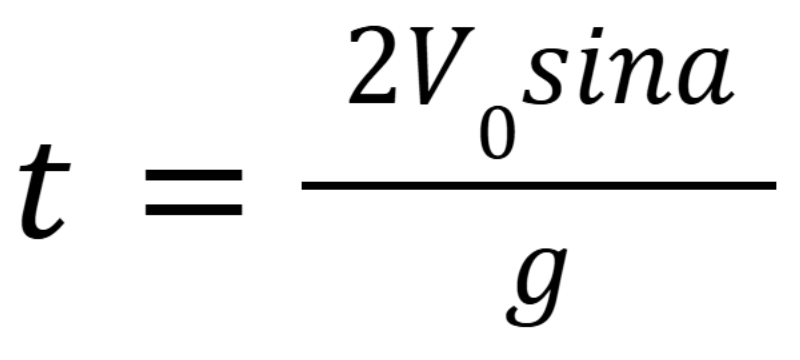
Мяч бросили под острым углом а к плоской горизонтальной поверхности земли. Время полёта мяча (в секундах) определяется по формуле
. При каком значении угла а (в градусах) время полёта составит 3 секунды, если мяч бросают с начальной скоростью V0 = 30 м/с? Считайте, что ускорение свободного падения g = 10 м/с2.